Son güncelleme :
18/03/2026
Antifungal   Amphotericin B liposomale  
Göz damlası
Enjeksiyon
Farmasötik preparatlar Kararlılığı Karışımlardaki stabilitesi Stabiliteyi etkileyen faktörler Uyumluluk Kaynaklar pdf
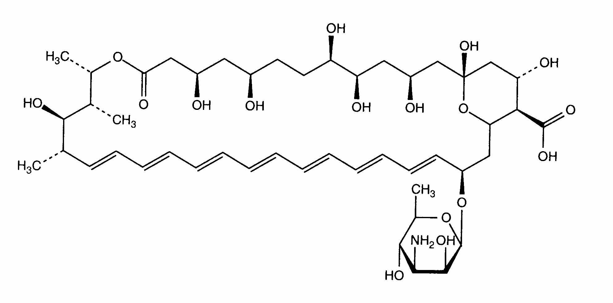
Lipozom   Kimyasal yapı   

Göz damlası
Kaynaklar   Göz damlası   Kaynaklar : Amphotericin B liposomale  
tip yayın
2654 Dergi Morand K, Bartoletti AC, Bochot A, Barratt G, Brandely ML, Chast F.
Liposomal amphotericin B eye drops to treat fungal keratitis: physico-chemical and formulation stability.
Int J Pharm 2007 ; 344, 1-2: 150-153.

  Mentions Légales