viimane versioon :
18/03/2026
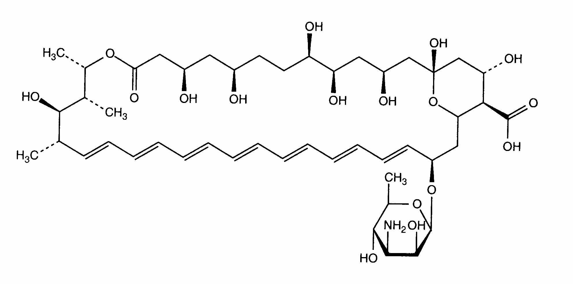
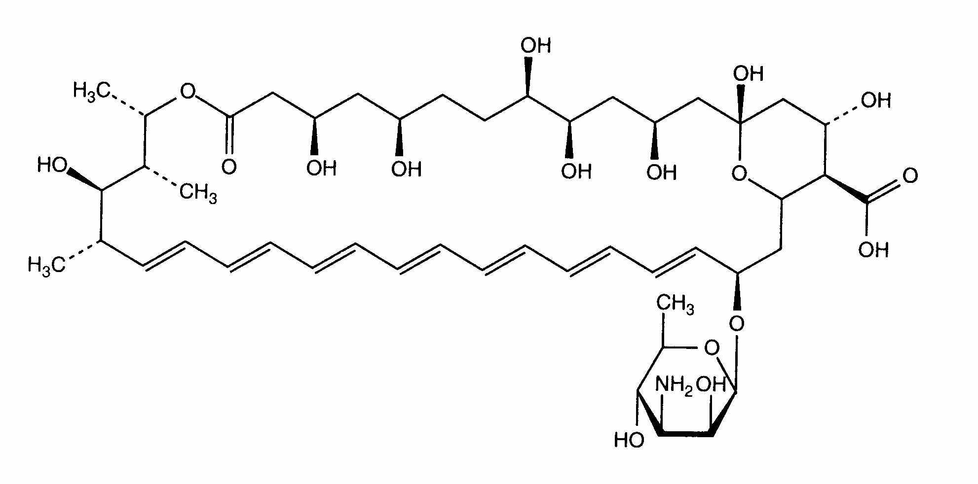
Seenevastane ravim   Amphotericin B liposomale  
Silmatilgad
Süsteravim
Stabiilsust ravimpreparaadid Stabiilsust mõjutavad tegurid stabiilsust mõjutavad faktorid Sobimatus Viited pdf
liposoom   keemiline struktuur  

Silmatilgad
Viited   Silmatilgad   Viited : Amphotericin B liposomale  
tüüp avaldamine
2654 ajaleht Morand K, Bartoletti AC, Bochot A, Barratt G, Brandely ML, Chast F.
Liposomal amphotericin B eye drops to treat fungal keratitis: physico-chemical and formulation stability.
Int J Pharm 2007 ; 344, 1-2: 150-153.

  Mentions Légales