Cập nhật lần cuối :
18/03/2026
Thuốc chống nấm   Amphotericin B  
Dạng tiêm
Dung dịch uống Khí dung Thuốc nhỏ mắt Thuốc súc miệng
Tính ổn định của các dung dịch Độ ổn định khi trộn lẫn Những yếu tố ảnh hưởng đến độ ổn định Khả năng tương thích Đường dùng Tài liệu tham khảo Pdf
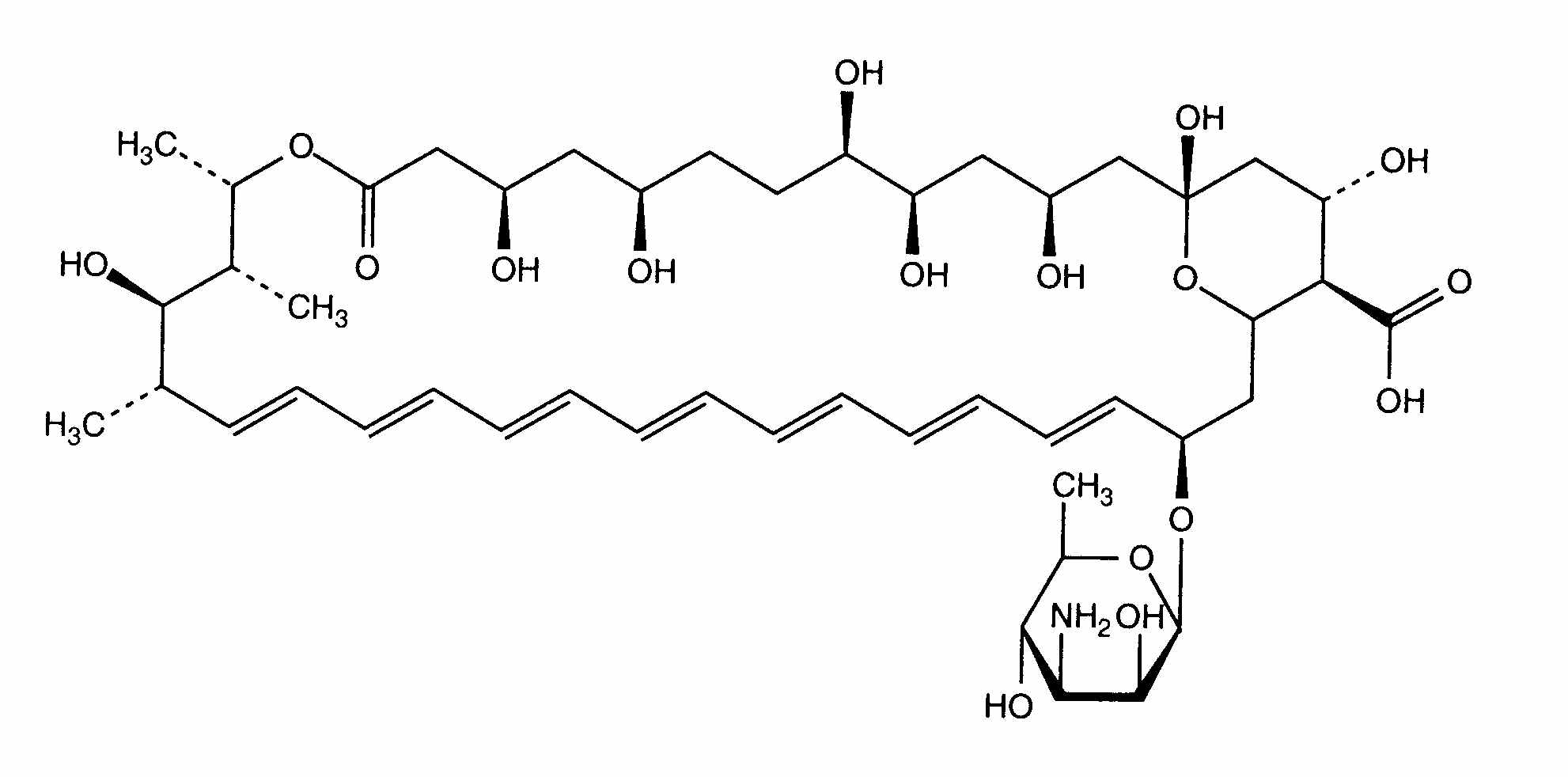
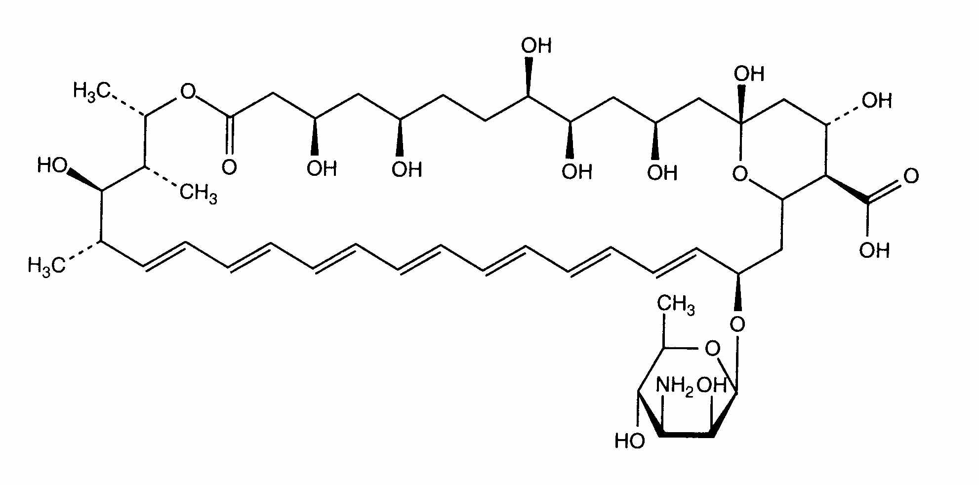
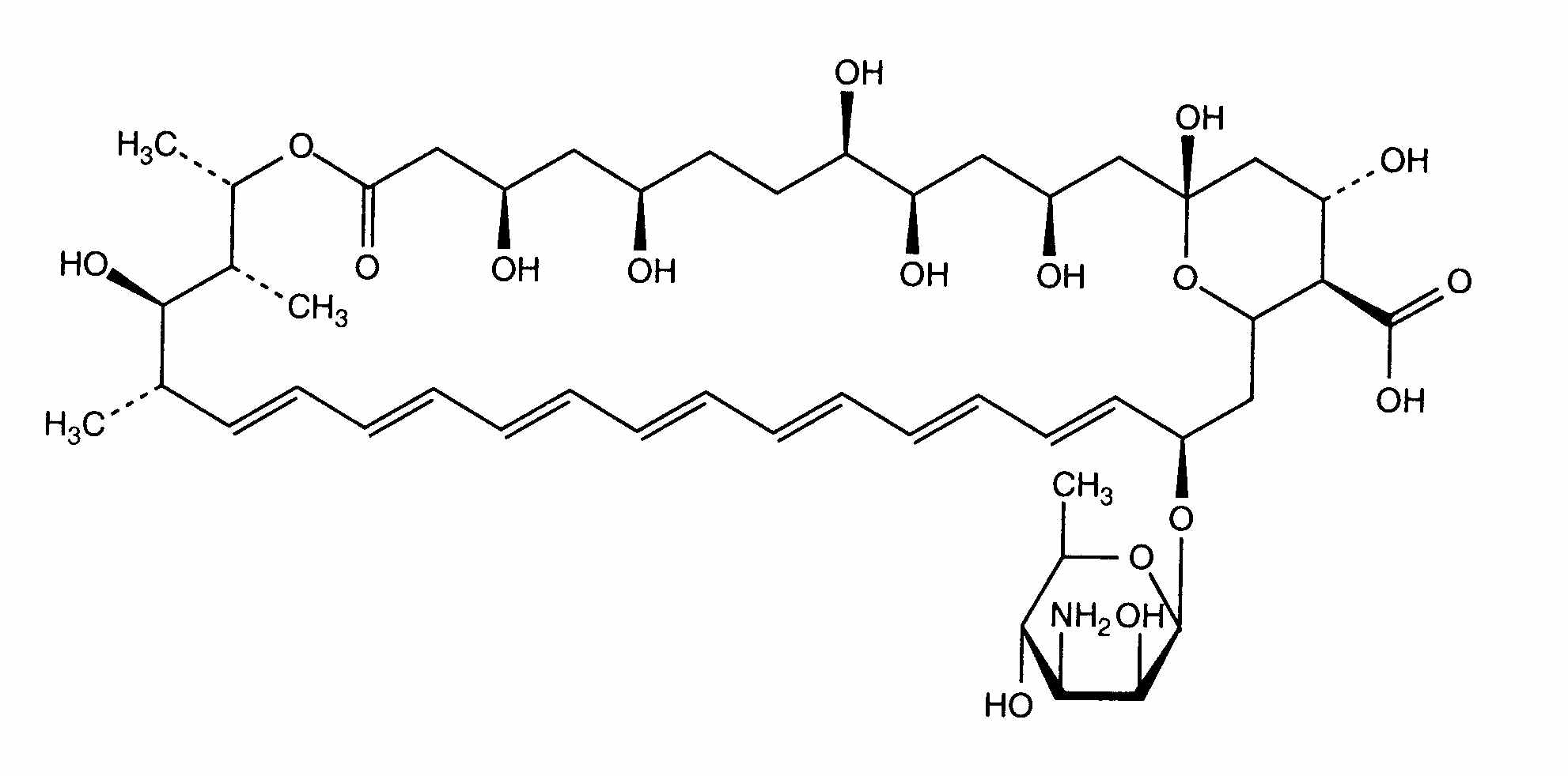
   Cấu trúc hóa học  

Tên thương mại   Tên thương mại     

Các tên thương mại được cung cấp và thành phần tá dược có thể khác nhau giữa các quốc gia và các hãng dược

Fungizone Ấn Độ, Anh, Bồ Đào Nha, Canada, Colombia, Hà Lan, Hoa Kỳ, Hungary, Hy Lạp, Iran, Ireland, Malaysia, Morocco, new zealand, Phần Lan, Pháp, Thổ Nhĩ Kỳ, Thụy Sỹ, Thụy Điển, Tunisia, Venezuela, Ý, Đan Mạch, Đức
Tính ổn định của các dung dịch   Dạng tiêm   Tính ổn định của các dung dịch : Amphotericin B     
Bao bì Dung môi Nồng độ Nhiệt độ Bảo quản Thời gian ổn định Mục lục
Nhựa polyvinyl chloride Glucose 5% 0,05 & 0,5 mg/ml 23°C-25°C Có hoặc không có tiếp xúc với ánh sáng
24 Giờ
12
Cấp độ bằng chứng D

Nhựa polyvinyl chloride Glucose 5% 0,1 mg/ml 15°C-25°C Tránh ánh sáng
24 Giờ
435
Cấp độ bằng chứng D

Nhựa polyvinyl chloride Glucose 5% 0,1 mg/ml 4°C Tránh ánh sáng
15 Ngày
1907
Cấp độ bằng chứng D

Nhựa polyvinyl chloride Glucose 5% 0,1 & 0,25 mg/ml 4°C Tránh ánh sáng
35 Ngày
436
Cấp độ bằng chứng A+

Nhựa polyvinyl chloride Glucose 5% 0,2 & 0,5 mg/ml 25°C Ánh sáng
120 Giờ
283
Cấp độ bằng chứng C+

Nhựa polyvinyl chloride Glucose 5% 0,2 & 0,5 & 1 mg/ml 4°C Tránh ánh sáng
120 Giờ
283
Cấp độ bằng chứng C+

Nhựa polyvinyl chloride Glucose 10% 0,1 mg/ml 15°C-25°C Tránh ánh sáng
24 Giờ
435
Cấp độ bằng chứng D

Nhựa polyvinyl chloride Glucose 15% 0,1 mg/ml 15°C-25°C Tránh ánh sáng
24 Giờ
435
Cấp độ bằng chứng D

Nhựa polyvinyl chloride Glucose 20% 0,1 mg/ml 15°C-25°C Tránh ánh sáng
24 Giờ
435
Cấp độ bằng chứng D

Nhựa polyolefin Glucose 5% 0,47 >> 0,75 mg/ml 25°C Ánh sáng
24 Giờ
497
Cấp độ bằng chứng C+

Nhựa polyolefin Glucose 5% 0,92 >> 1,4 mg/ml 25°C Không rõ
36 Giờ
439
Cấp độ bằng chứng A+

Nhựa polyolefin Glucose 5% 0,92 >> 1,4 mg/ml 6°C Tránh ánh sáng
36 Giờ
439
Cấp độ bằng chứng A+

Chất đàn hồi polyisoprene Glucose 5% 0,2 & 0,5 mg/ml 4°C Tránh ánh sáng
10 Ngày
604
Các dữ liệu về độ ổn định của nhà sản xuất


  Mentions Légales