Laatste update :
18/03/2026
Antimycoticum   Amphotericin B  
injecteerbaar geneesmiddel
Aerosol gorgelen Oogwater Orale Oplossing
Stabiliteit in oplossing Stabiliteit in mengsels Factoren die de stabiliteit beïnvloeden Verenigbaarheden Toedieningswijze Literatuur pdf
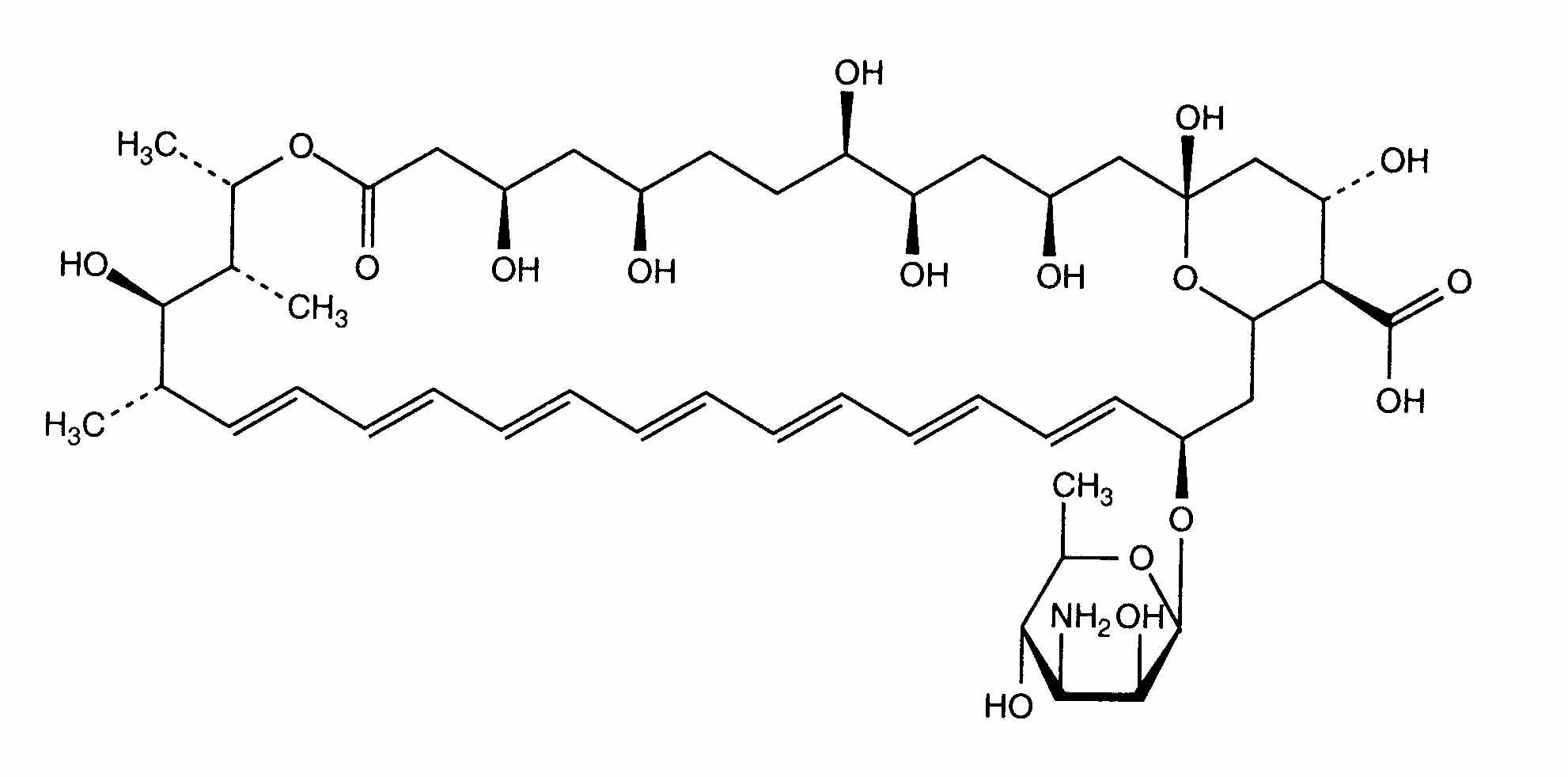
   Molecuulstructuur  

Merknamen in verschillende landen   Merknamen in verschillende landen     

Handelsnamen zijn slechts een indicatie; de samenstelling van hulpstoffen kan per land variëren afhankelijk van de fabrikant

Fungizone Canada, Colombia, Denemarken, Duitsland, Finland, Frankrijk, Griekenland, Groot Britannië, Hongarije, Ierland, Indië, Iran, Italië, Maleisië, Marokko, Nederland, nieuw Zeeland, Portugal, Tunisie, Turkije, USA, Venezuela, Zweden, Zwitserland
Stabiliteit in oplossing   injecteerbaar geneesmiddel   Stabiliteit in oplossing : Amphotericin B     
Verpakking Oplosmiddel Concentratie Temperatuur Bewaring Duur van de stabiliteit Literatuur
Polyvinylchloride (PVC) Glucose 5% 0,05 & 0,5 mg/ml 23°C-25°C Met of zonder licht
24 Uur
12
Bewijsniveau D

Polyvinylchloride (PVC) Glucose 5% 0,1 mg/ml 15°C-25°C Buiten invloed van licht
24 Uur
435
Bewijsniveau D

Polyvinylchloride (PVC) Glucose 5% 0,1 mg/ml 4°C Buiten invloed van licht
15 Dag
1907
Bewijsniveau D

Polyvinylchloride (PVC) Glucose 5% 0,1 & 0,25 mg/ml 4°C Buiten invloed van licht
35 Dag
436
Bewijsniveau A+

Polyvinylchloride (PVC) Glucose 5% 0,2 & 0,5 mg/ml 25°C Licht
120 Uur
283
Bewijsniveau C+

Polyvinylchloride (PVC) Glucose 5% 0,2 & 0,5 & 1 mg/ml 4°C Buiten invloed van licht
120 Uur
283
Bewijsniveau C+

Polyvinylchloride (PVC) Glucose 10% 0,1 mg/ml 15°C-25°C Buiten invloed van licht
24 Uur
435
Bewijsniveau D

Polyvinylchloride (PVC) Glucose 15% 0,1 mg/ml 15°C-25°C Buiten invloed van licht
24 Uur
435
Bewijsniveau D

Polyvinylchloride (PVC) Glucose 20% 0,1 mg/ml 15°C-25°C Buiten invloed van licht
24 Uur
435
Bewijsniveau D

Polyolefine Glucose 5% 0,47 >> 0,75 mg/ml 25°C Licht
24 Uur
497
Bewijsniveau C+

Polyolefine Glucose 5% 0,92 >> 1,4 mg/ml 25°C Niet gespecificeerd
36 Uur
439
Bewijsniveau A+

Polyolefine Glucose 5% 0,92 >> 1,4 mg/ml 6°C Buiten invloed van licht
36 Uur
439
Bewijsniveau A+

Polyisopreen elastomeer Glucose 5% 0,2 & 0,5 mg/ml 4°C Buiten invloed van licht
10 Dag
604
Stabiliteitsgegevens van de fabrikant


  Mentions Légales