Última actualização :
18/03/2026
Antifúngico   Amphotericin B  
injetável
aerossol colutório solução oftálmica Solução Oral
Estabilidade em soluções simples Estabilidade em misturas Factores que afectam a sua estabilidade Compatibilidade Método de administração Bibliografía pdf
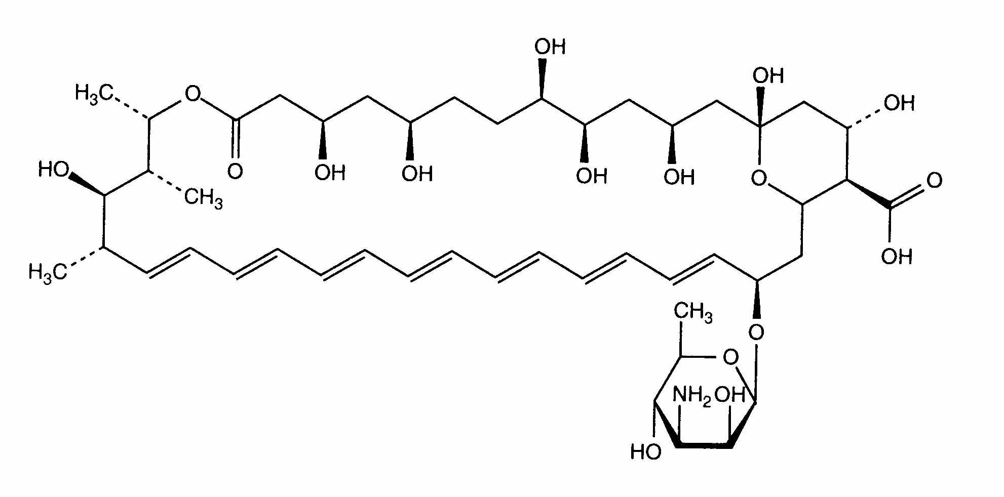
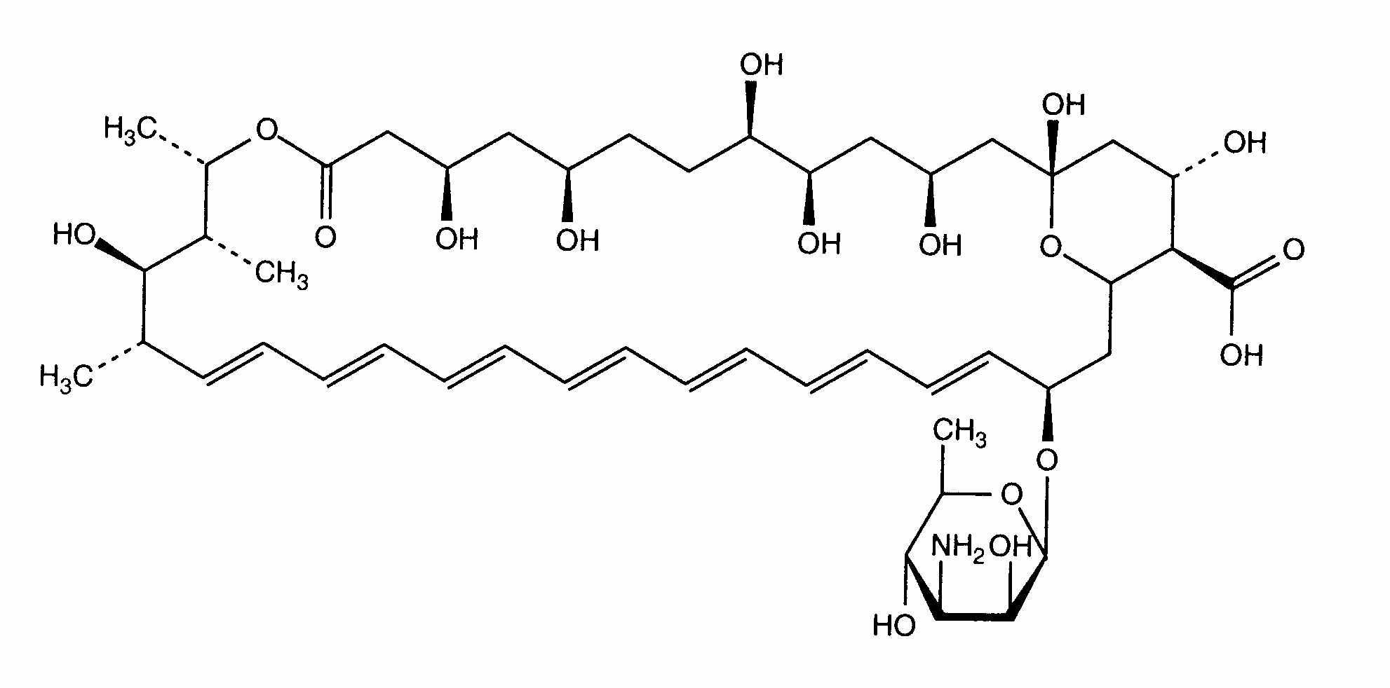
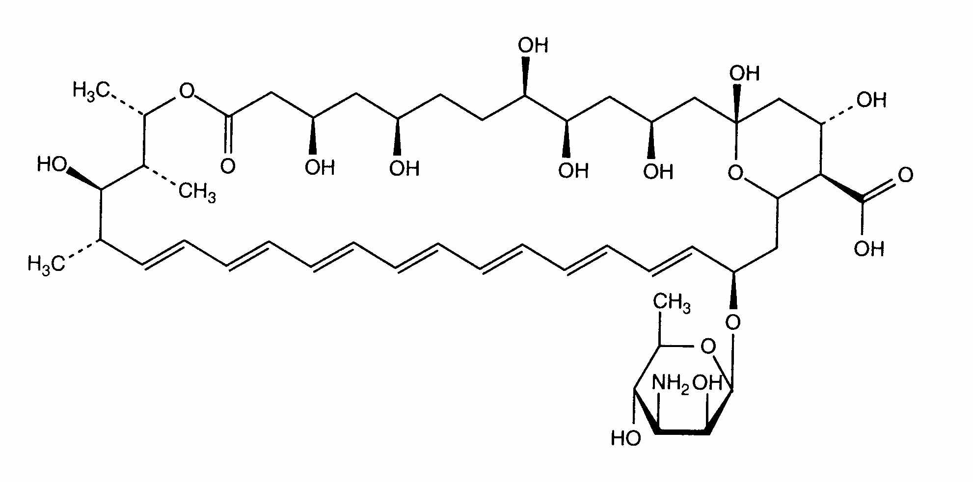
   estrutura química  

Nomes comerciais nos diversos países   Nomes comerciais nos diversos países     

OS NOMES COMERCIAIS SÃO INDICATIVOS E OS EXCIPIENTES DA FORMULAÇÃO PODEM SER DIFERENTES CONFORME O PAÍS E FABRICANTE.

Fungizone Alemanha, Canadá, Colômbia, Dinamarca, Estados Unidos de América, Finlandia, França, Gran-bretanha, Grècia, Hungria, Índia, Irã, Irlanda, Itália, Malásia, Marrocos, nova Zelândia, Países Baixos, Portugal, Suècia, Suicia, Tunísia, Turquia, Venezuela
Estabilidade em soluções simples   injetável   Estabilidade em soluções simples : Amphotericin B     
Embalagem Solvente concentração temperatura conservação Duração da estabilidade Bibliografia
Cloreto de polivinilo Glucose 5% 0,05 & 0,5 mg/ml 23°C-25°C Com ou sem luz
24 hora
12
Nível de evidência D

Cloreto de polivinilo Glucose 5% 0,1 mg/ml 15°C-25°C ao abrigo da luz
24 hora
435
Nível de evidência D

Cloreto de polivinilo Glucose 5% 0,1 mg/ml 4°C ao abrigo da luz
15 dia
1907
Nível de evidência D

Cloreto de polivinilo Glucose 5% 0,1 & 0,25 mg/ml 4°C ao abrigo da luz
35 dia
436
Nível de evidência A+

Cloreto de polivinilo Glucose 5% 0,2 & 0,5 mg/ml 25°C luz
120 hora
283
Nível de evidência C+

Cloreto de polivinilo Glucose 5% 0,2 & 0,5 & 1 mg/ml 4°C ao abrigo da luz
120 hora
283
Nível de evidência C+

Cloreto de polivinilo Glucose 10% 0,1 mg/ml 15°C-25°C ao abrigo da luz
24 hora
435
Nível de evidência D

Cloreto de polivinilo Glucose 15% 0,1 mg/ml 15°C-25°C ao abrigo da luz
24 hora
435
Nível de evidência D

Cloreto de polivinilo Glucose 20% 0,1 mg/ml 15°C-25°C ao abrigo da luz
24 hora
435
Nível de evidência D

Poliolefina Glucose 5% 0,47 >> 0,75 mg/ml 25°C luz
24 hora
497
Nível de evidência C+

Poliolefina Glucose 5% 0,92 >> 1,4 mg/ml 25°C no especificado
36 hora
439
Nível de evidência A+

Poliolefina Glucose 5% 0,92 >> 1,4 mg/ml 6°C ao abrigo da luz
36 hora
439
Nível de evidência A+

Elastômero de poliisopreno Glucose 5% 0,2 & 0,5 mg/ml 4°C ao abrigo da luz
10 dia
604
Dados estabilidade do fabricante


  Mentions Légales