Siste oppdatering :
18/03/2026
Fungicid   Amphotericin B  
Injeksjon
Aerosol Mikstur Munnvann Øyedråper
Oppløsningsstabilitet Stabilitet i blandinger Faktorer som påvirker stabiliteten Kompatibilitet Administrasjonsmåte Referanser pdf
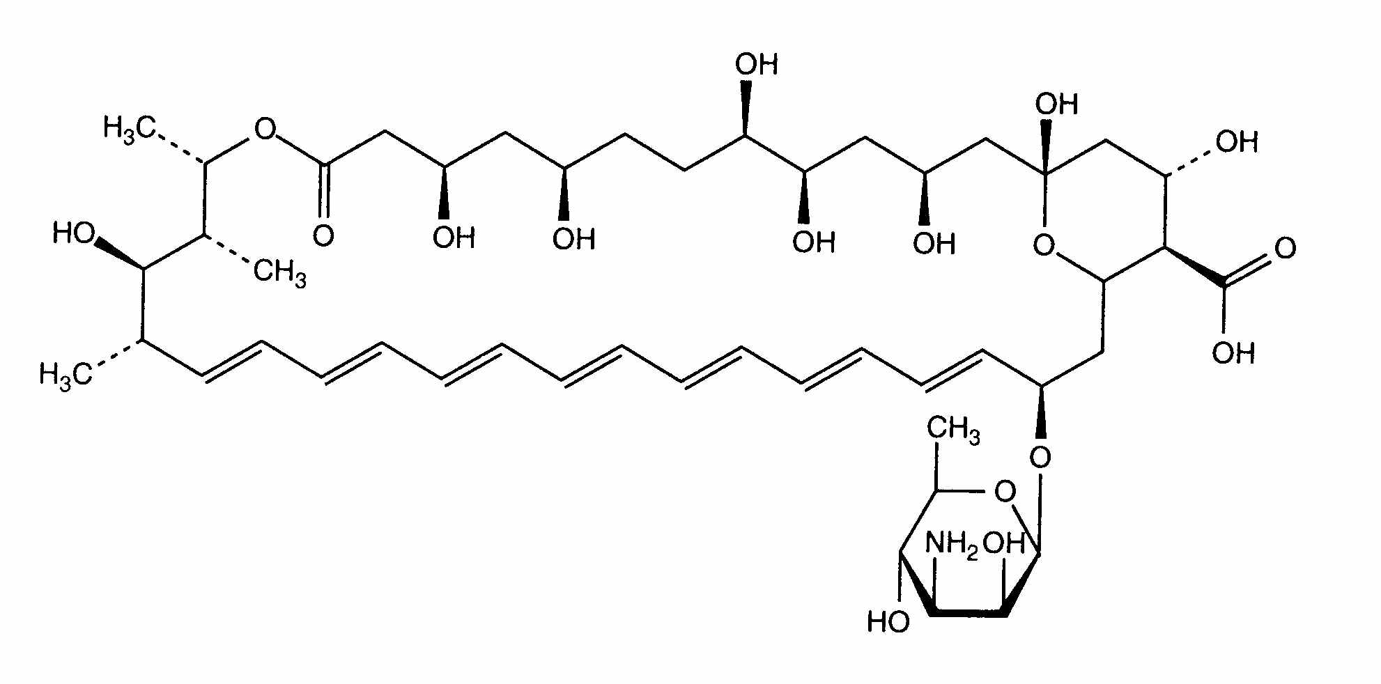
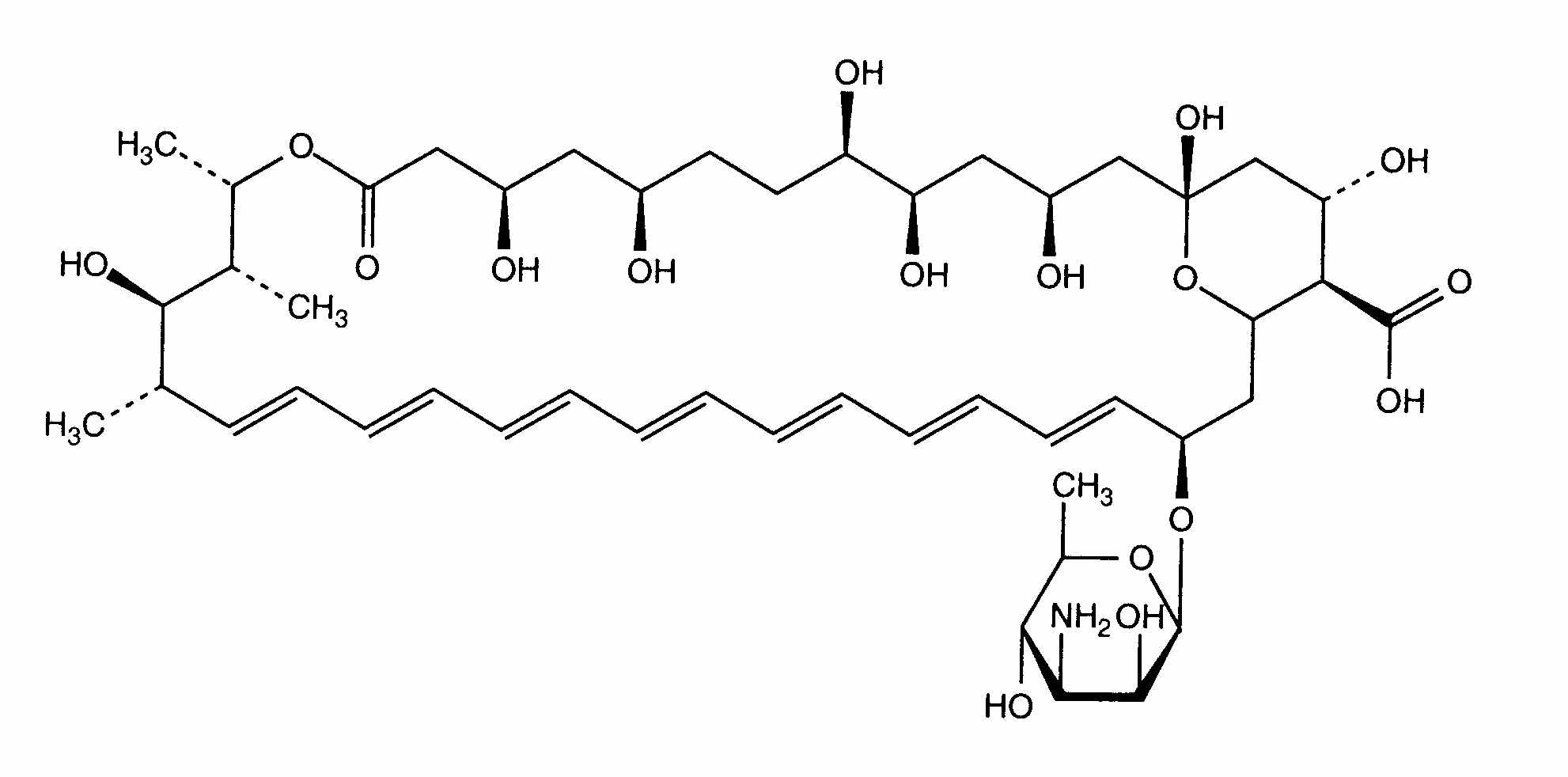
   Kjemisk struktur  

Handelsnavn   Handelsnavn     

Handelsnavn er veiledende og sammensetning av hjelpestoffer kan være forskjellig avhengig av land og produsent

Fungizone Canada, Colombia, Danmark, Finland, Frankrike, Hellas, India, Iran, Irland, Italia, Malaysia, Marokko, Nederland, New Zealand, Portugal, Storbritannia, Sveits, Sverige, Tunisia, Tyrkia, Tyskland, Ungarn, USA, Venezuela
Oppløsningsstabilitet   Injeksjon   Oppløsningsstabilitet : Amphotericin B     
Beholder Oppløsningsmiddel Konsentrasjon Temperatur Oppbevaring Varighet av stabilitet Referanser
Polyvinylklorid Glukose 5 % 0,05 & 0,5 mg/ml 23°C-25°C Med eller uten lys
24 Tid
12
Bevisgrad D

Polyvinylklorid Glukose 5 % 0,1 mg/ml 15°C-25°C Beskyttes mot lys
24 Tid
435
Bevisgrad D

Polyvinylklorid Glukose 5 % 0,1 mg/ml 4°C Beskyttes mot lys
15 Dag
1907
Bevisgrad D

Polyvinylklorid Glukose 5 % 0,1 & 0,25 mg/ml 4°C Beskyttes mot lys
35 Dag
436
Bevisgrad A +

Polyvinylklorid Glukose 5 % 0,2 & 0,5 mg/ml 25°C Lys
120 Tid
283
Bevisgrad C+

Polyvinylklorid Glukose 5 % 0,2 & 0,5 & 1 mg/ml 4°C Beskyttes mot lys
120 Tid
283
Bevisgrad C+

Polyvinylklorid Glukose 10 % 0,1 mg/ml 15°C-25°C Beskyttes mot lys
24 Tid
435
Bevisgrad D

Polyvinylklorid Glukose 15 % 0,1 mg/ml 15°C-25°C Beskyttes mot lys
24 Tid
435
Bevisgrad D

Polyvinylklorid Glukose 20 % 0,1 mg/ml 15°C-25°C Beskyttes mot lys
24 Tid
435
Bevisgrad D

Polyolefin Glukose 5 % 0,47 >> 0,75 mg/ml 25°C Lys
24 Tid
497
Bevisgrad C+

Polyolefin Glukose 5 % 0,92 >> 1,4 mg/ml 25°C Ikke angitt
36 Tid
439
Bevisgrad A +

Polyolefin Glukose 5 % 0,92 >> 1,4 mg/ml 6°C Beskyttes mot lys
36 Tid
439
Bevisgrad A +

Polyisopren elastomer Glukose 5 % 0,2 & 0,5 mg/ml 4°C Beskyttes mot lys
10 Dag
604
Stabilitetsopplysninger fra produsent


  Mentions Légales