最新更新 :
18/03/2026
抗真菌药   Amphotericin B  
注射液
口服剂 气雾剂 漱口水 眼药水
溶液稳定性 混合物稳定性 影响稳定性的因素 兼容性 用药途径 引用文献 PDF
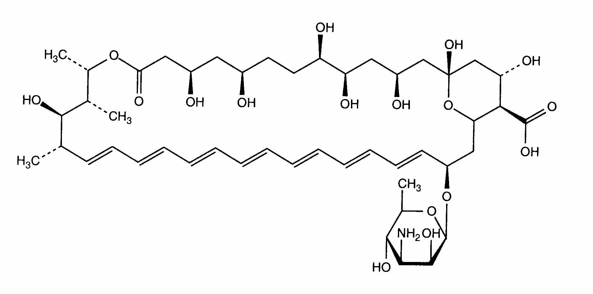
   化学式  

商品名   商品名     

商品名仅供参考, 药品所用的辅料可能依国家或厂商不同有所不同。

Fungizone 丹麦, 伊朗, 加拿大, 匈牙利, 印度, 哥伦比亚, 土耳其, 委内瑞拉, 希腊, 德国, 意大利, 摩洛哥, 新西蘭, 法国, 爱尔兰, 瑞典, 瑞士, 突尼斯, 美国, 芬兰, 英国, 荷兰, 葡萄牙, 马来西亚
溶液稳定性   注射液   溶液稳定性 : Amphotericin B     
容器 溶剂 浓度 温度 保存 穩定持續時間 引用文献
聚氯乙烯 葡萄糖5% 0,05 & 0,5 mg/ml 23°C-25°C 光/避光
24 小时
12
D级

聚氯乙烯 葡萄糖5% 0,1 mg/ml 15°C-25°C 避光
24 小时
435
D级

聚氯乙烯 葡萄糖5% 0,1 mg/ml 4°C 避光
15 白天
1907
D级

聚氯乙烯 葡萄糖5% 0,1 & 0,25 mg/ml 4°C 避光
35 白天
436
A+级

聚氯乙烯 葡萄糖5% 0,2 & 0,5 mg/ml 25°C 光
120 小时
283
C+级

聚氯乙烯 葡萄糖5% 0,2 & 0,5 & 1 mg/ml 4°C 避光
120 小时
283
C+级

聚氯乙烯 葡萄糖10% 0,1 mg/ml 15°C-25°C 避光
24 小时
435
D级

聚氯乙烯 葡萄糖15% 0,1 mg/ml 15°C-25°C 避光
24 小时
435
D级

聚氯乙烯 葡萄糖20% 0,1 mg/ml 15°C-25°C 避光
24 小时
435
D级

聚烯烃 葡萄糖5% 0,47 >> 0,75 mg/ml 25°C 光
24 小时
497
C+级

聚烯烃 葡萄糖5% 0,92 >> 1,4 mg/ml 25°C 无特殊要求
36 小时
439
A+级

聚烯烃 葡萄糖5% 0,92 >> 1,4 mg/ml 6°C 避光
36 小时
439
A+级

聚異戊二烯彈性體 葡萄糖5% 0,2 & 0,5 mg/ml 4°C 避光
10 白天
604
生产厂家提供的稳定性数据


  Mentions Légales