Last update :
18/03/2026
Antifungal   Amphotericin B  
injection
aerosol Eye-drops Mouthwash Oral solution
Stability in solutions Stability of mixtures Factors which affect stability Compatibility Route of administration References pdf
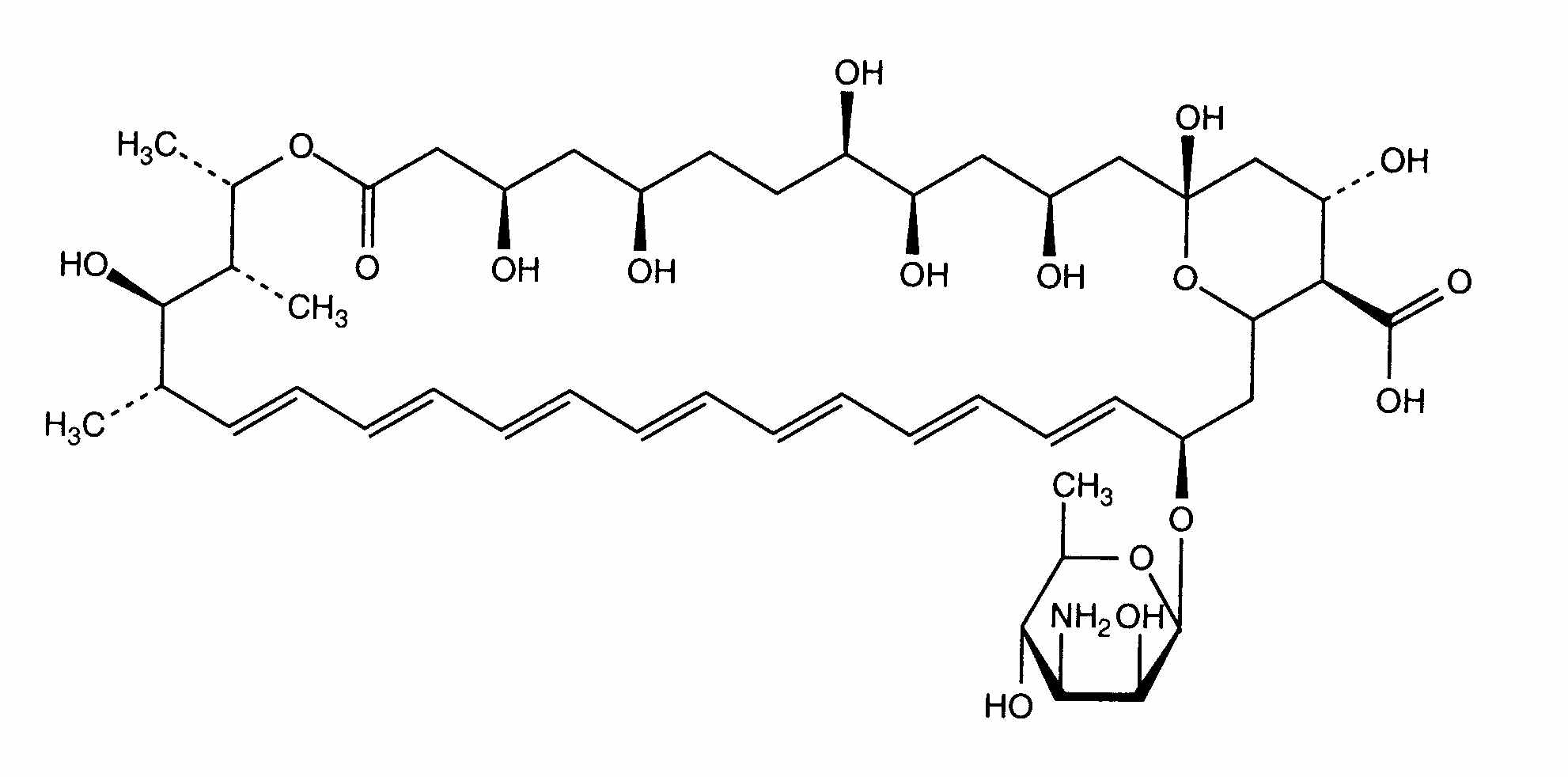
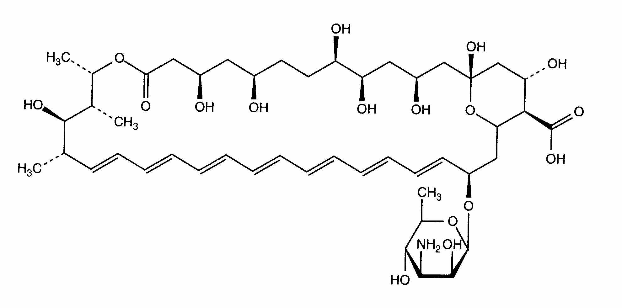
   Chemical structure  

Tradename   Tradename     

Trade names are indicative and excipients composition can be different depending on the country and manufacturers

Fungizone Canada, Colombia, Denmark, Finland, France, Germany, Great Britain, Greece, Hungary, India, Iran, Ireland, Italy, Malaysia, Morocco, Netherlands, New Zealand, Portugal, Sweden, Switzerland, Tunisia, Turkey, United States of America, Venezuela
Stability in solutions   injection   Stability in solutions : Amphotericin B     
Container Solvent Concentration Temperature Storage Duration of stability References
Polyvinyl chloride Glucose 5% 0,05 & 0,5 mg/ml 23°C-25°C With or without light
24 Hour
12
Level of evidence D

Polyvinyl chloride Glucose 5% 0,1 mg/ml 15°C-25°C Protect from light
24 Hour
435
Level of evidence D

Polyvinyl chloride Glucose 5% 0,1 mg/ml 4°C Protect from light
15 Day
1907
Level of evidence D

Polyvinyl chloride Glucose 5% 0,1 & 0,25 mg/ml 4°C Protect from light
35 Day
436
Level of evidence A+

Polyvinyl chloride Glucose 5% 0,2 & 0,5 mg/ml 25°C Light
120 Hour
283
Level of evidence C+

Polyvinyl chloride Glucose 5% 0,2 & 0,5 & 1 mg/ml 4°C Protect from light
120 Hour
283
Level of evidence C+

Polyvinyl chloride Glucose 10% 0,1 mg/ml 15°C-25°C Protect from light
24 Hour
435
Level of evidence D

Polyvinyl chloride Glucose 15% 0,1 mg/ml 15°C-25°C Protect from light
24 Hour
435
Level of evidence D

Polyvinyl chloride Glucose 20% 0,1 mg/ml 15°C-25°C Protect from light
24 Hour
435
Level of evidence D

Polyolefine Glucose 5% 0,47 >> 0,75 mg/ml 25°C Light
24 Hour
497
Level of evidence C+

Polyolefine Glucose 5% 0,92 >> 1,4 mg/ml 25°C Not specified
36 Hour
439
Level of evidence A+

Polyolefine Glucose 5% 0,92 >> 1,4 mg/ml 6°C Protect from light
36 Hour
439
Level of evidence A+

Polyisoprene elastomer Glucose 5% 0,2 & 0,5 mg/ml 4°C Protect from light
10 Day
604
Manufacturer's stability data


  Mentions Légales