最新更新 :
18/03/2026
抗真菌薬   Amphotericin B  
注射薬
エアロゾル 含嗽薬 点眼薬 経口液
溶媒内の安定性 混合時の安定性 安定性に影響する因子 互換性 投与経路 引用文献 PDF
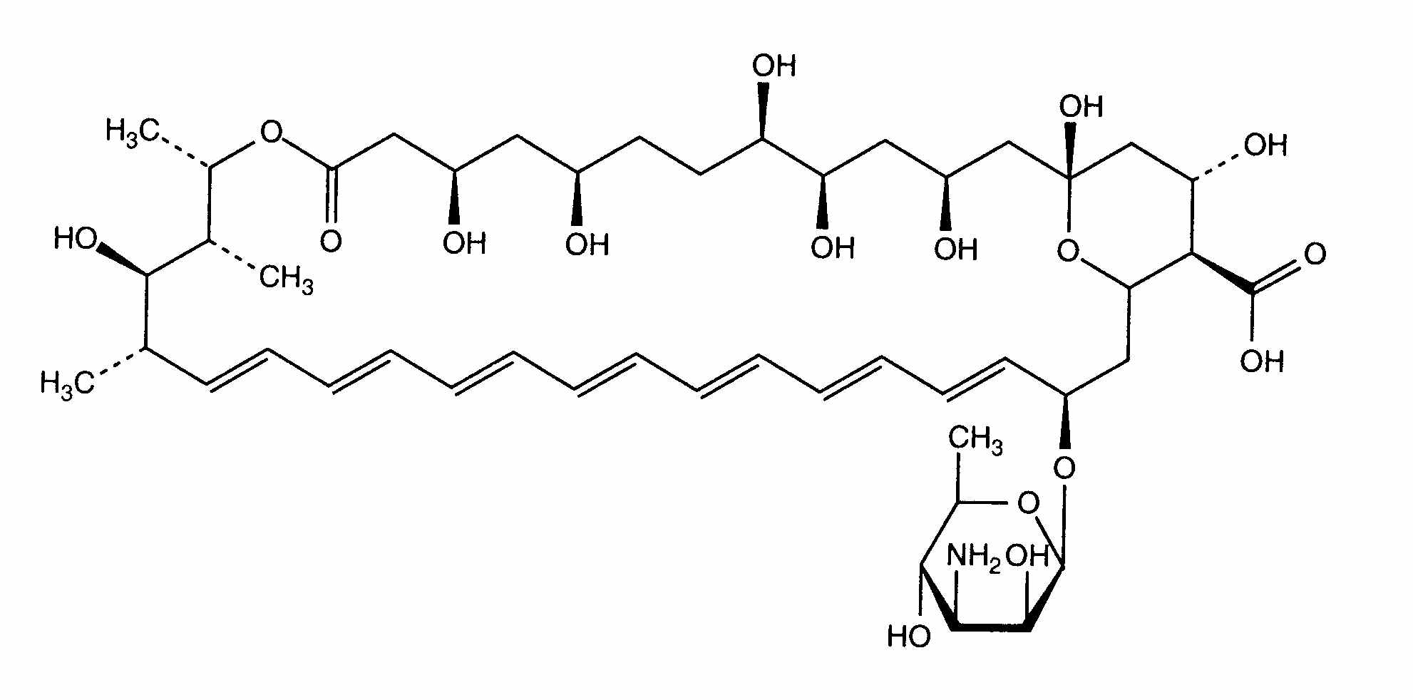
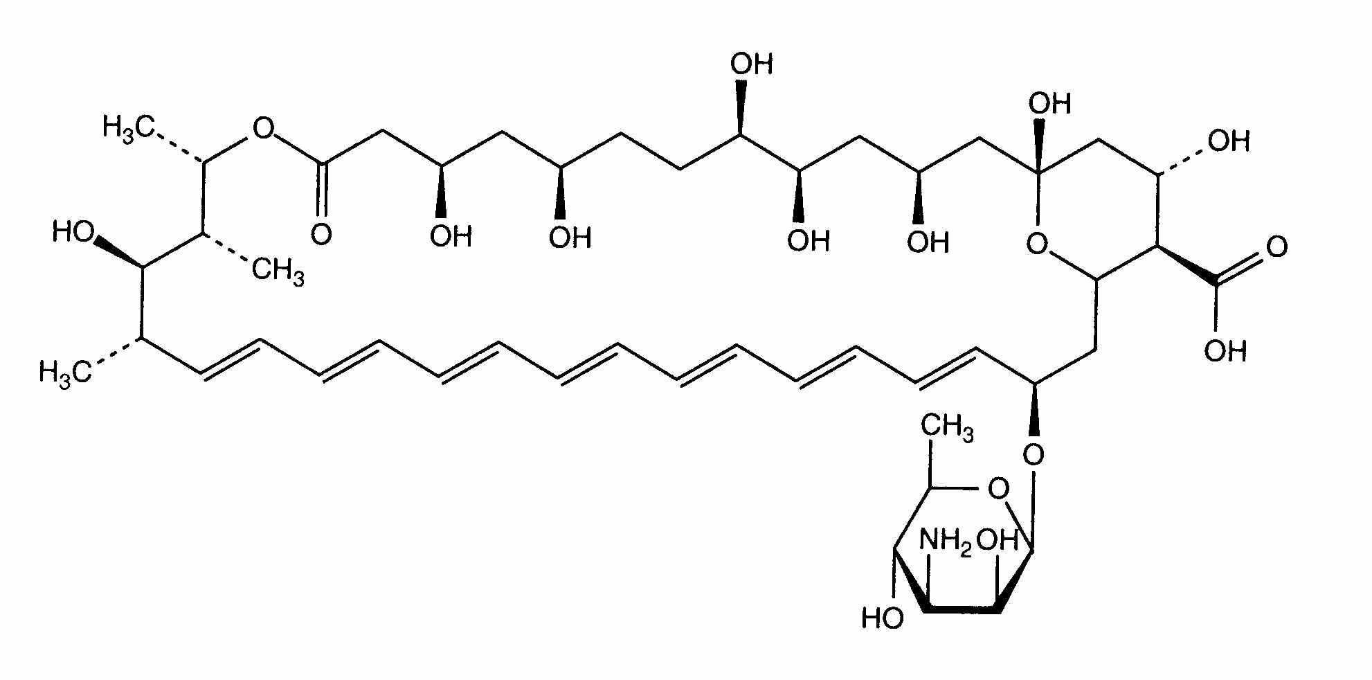
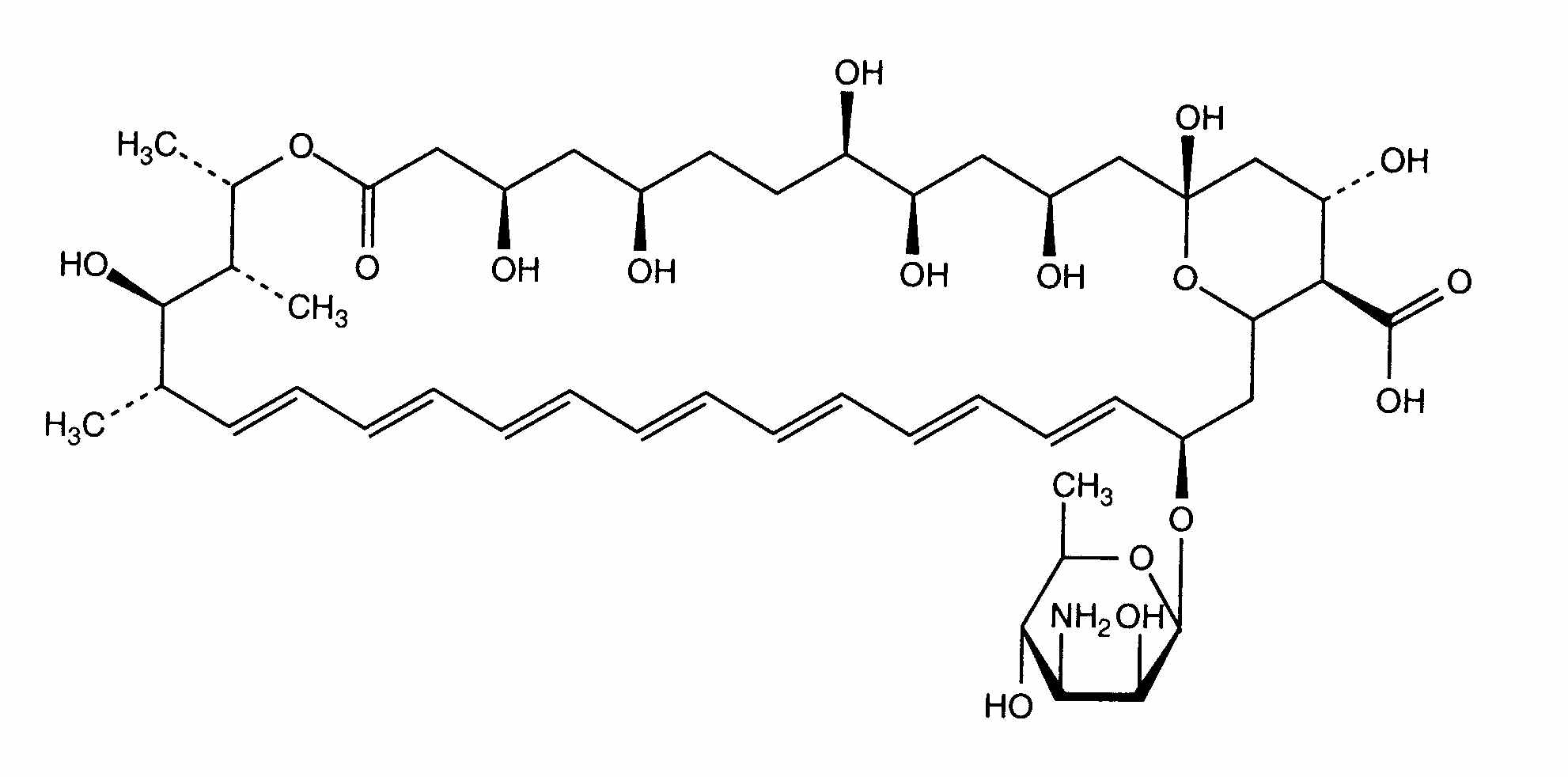
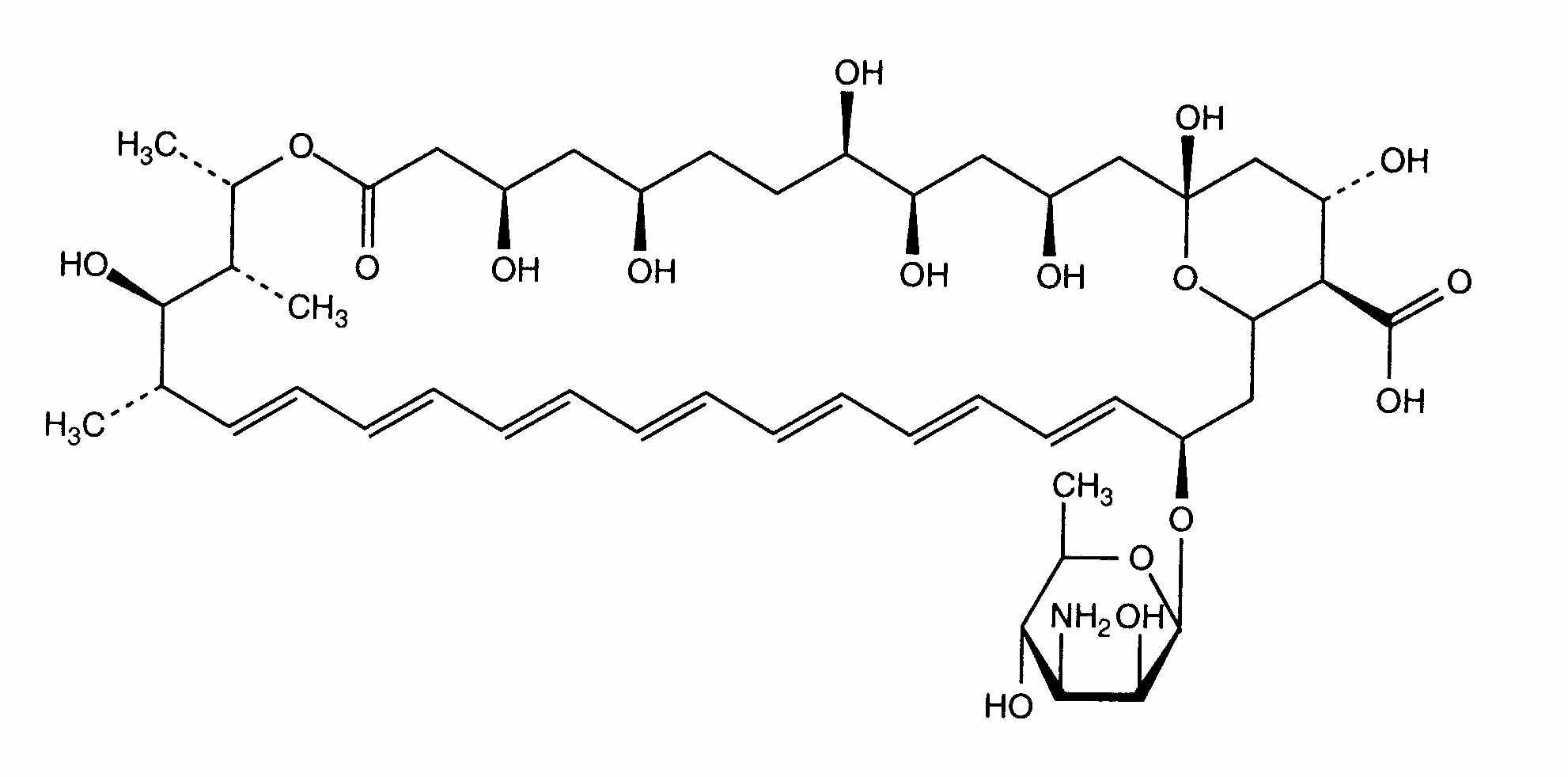
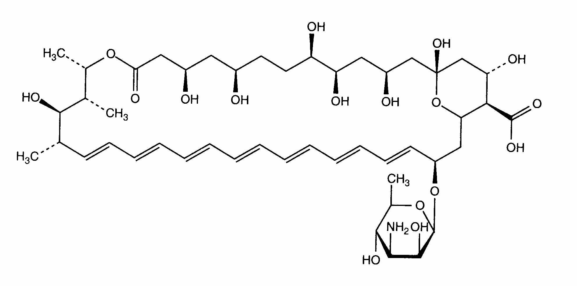
   化学構造  

商品名   商品名     

商品名、賦形剤は国、製薬会社ごとに異なることがあります

Fungizone アイルランド, アメリカ, イギリス, イタリア, イラン, インド, オランダ, カナダ, ギリシア, コロンビア, スイス, スウェーデン, チュニジア, デンマーク, トルコ, ドイツ, ニュージーランド, ハンガリー, フィンランド, フランス, ベネズエラ, ポルトガル, マレーシア, モロッコ
溶媒内の安定性   注射薬   溶媒内の安定性 : Amphotericin B     
容器 溶媒 濃度 温度 保管 安定期間 引用文献
ポリ塩化ビニル(PVC) グルコース5% 0,05 & 0,5 mg/ml 23°C-25°C 光/遮光
24 時間
12
エビデンスレベル D

ポリ塩化ビニル(PVC) グルコース5% 0,1 mg/ml 15°C-25°C 遮光
24 時間
435
エビデンスレベル D

ポリ塩化ビニル(PVC) グルコース5% 0,1 mg/ml 4°C 遮光
15 日
1907
エビデンスレベル D

ポリ塩化ビニル(PVC) グルコース5% 0,1 & 0,25 mg/ml 4°C 遮光
35 日
436
エビデンスレベル A+

ポリ塩化ビニル(PVC) グルコース5% 0,2 & 0,5 mg/ml 25°C 光
120 時間
283
エビデンスレベル C+

ポリ塩化ビニル(PVC) グルコース5% 0,2 & 0,5 & 1 mg/ml 4°C 遮光
120 時間
283
エビデンスレベル C+

ポリ塩化ビニル(PVC) グルコース10% 0,1 mg/ml 15°C-25°C 遮光
24 時間
435
エビデンスレベル D

ポリ塩化ビニル(PVC) グルコース15% 0,1 mg/ml 15°C-25°C 遮光
24 時間
435
エビデンスレベル D

ポリ塩化ビニル(PVC) グルコース20% 0,1 mg/ml 15°C-25°C 遮光
24 時間
435
エビデンスレベル D

ポリオレフィン グルコース5% 0,47 >> 0,75 mg/ml 25°C 光
24 時間
497
エビデンスレベル C+

ポリオレフィン グルコース5% 0,92 >> 1,4 mg/ml 25°C 特記なし
36 時間
439
エビデンスレベル A+

ポリオレフィン グルコース5% 0,92 >> 1,4 mg/ml 6°C 遮光
36 時間
439
エビデンスレベル A+

ポリイソプレンエラストマー グルコース5% 0,2 & 0,5 mg/ml 4°C 遮光
10 日
604
製薬会社の安定性データ


  Mentions Légales