Τελευταία ενημέρωση :
18/03/2026
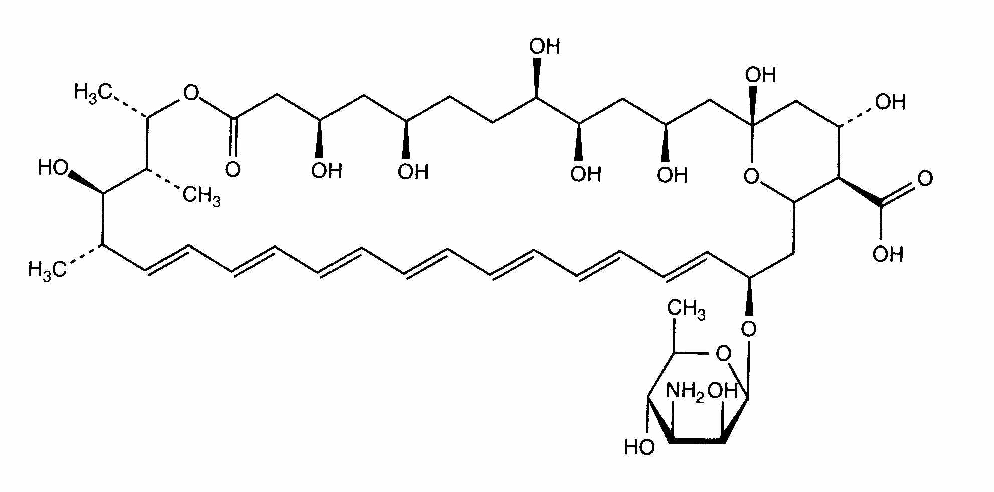
Αντιμυκητικό   Amphotericin B  
Ενέσιμο
Αεροζόλ Οφθαλμικές σταγόνες Πόσιμο διάλυμα Στοματικό διάλυμα
Σταθερότητα διαλυμάτων Σταθερότητα σε μίγματα Παράγοντας που επηρεάζει τη σταθερότητα Συμβατότητες Τρόπος χορήγησης Βιβλιογραφία pdf
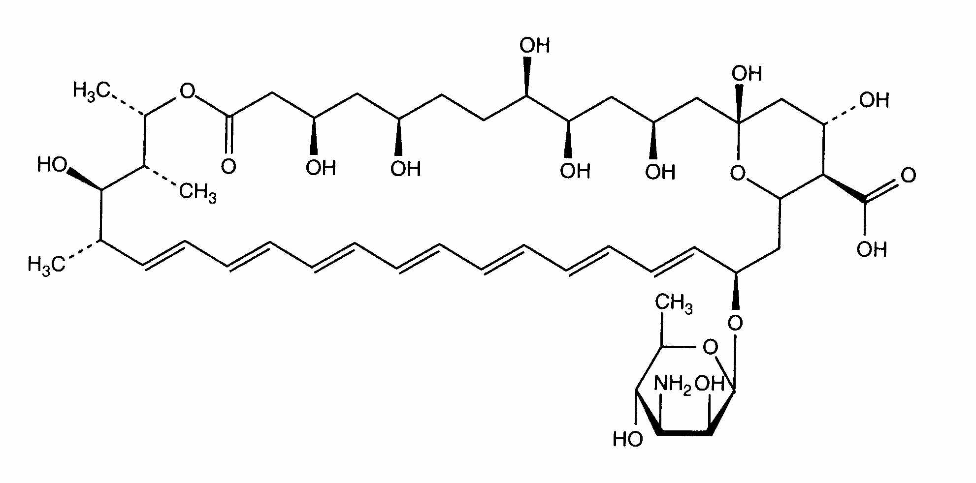
   χημική δομή  

Εμπορική ονομασία   Εμπορική ονομασία     

Οι εμπορικές ονομασίες είναι ενδεικτικές και η σύνθεση των εκδόχων μπορεί να διαφέρει ανάλογα με τη χώρα και τα εργαστήρια

Fungizone Βενεζουέλα, Γαλλία, Γερμανία, Δανία, Ελβετία, Ελλάδα, Η.Π.Α., Ινδία, Ιράν, Ιρλανδία, Ιταλία, Καναδάς, Κολομβία, Μαλαισία, Μαρόκο, Μεγάλη Βρετανία, νέα Ζηλανδία, Ολλανδία, Ουγγαρία, Πορτογαλία, Σουηδία, Τουρκία, Τυνησία, Φινλανδία
Σταθερότητα διαλυμάτων   Ενέσιμο   Σταθερότητα διαλυμάτων : Amphotericin B     
Υποδοχέας Διαλυτικό Συγκέντρωση Θερμοκρασία Αποθήκευση Διάρκεια σταθερότητας Βιβλιογραφία
Πολυβινυλοχλωρίδιο Γλυκόζη 5% 0,05 & 0,5 mg/ml 23°C-25°C Με ή χωρίς φως
24 Ώρα
12
Επίπεδο των αποδεικτικών στοιχείων D

Πολυβινυλοχλωρίδιο Γλυκόζη 5% 0,1 mg/ml 15°C-25°C Προστατεύετε από το φως
24 Ώρα
435
Επίπεδο των αποδεικτικών στοιχείων D

Πολυβινυλοχλωρίδιο Γλυκόζη 5% 0,1 mg/ml 4°C Προστατεύετε από το φως
15 Ημέρα
1907
Επίπεδο των αποδεικτικών στοιχείων D

Πολυβινυλοχλωρίδιο Γλυκόζη 5% 0,1 & 0,25 mg/ml 4°C Προστατεύετε από το φως
35 Ημέρα
436
Επίπεδο των αποδεικτικών στοιχείων A+

Πολυβινυλοχλωρίδιο Γλυκόζη 5% 0,2 & 0,5 mg/ml 25°C Φως
120 Ώρα
283
Επίπεδο των αποδεικτικών στοιχείων C+

Πολυβινυλοχλωρίδιο Γλυκόζη 5% 0,2 & 0,5 & 1 mg/ml 4°C Προστατεύετε από το φως
120 Ώρα
283
Επίπεδο των αποδεικτικών στοιχείων C+

Πολυβινυλοχλωρίδιο Γλυκόζη 10% 0,1 mg/ml 15°C-25°C Προστατεύετε από το φως
24 Ώρα
435
Επίπεδο των αποδεικτικών στοιχείων D

Πολυβινυλοχλωρίδιο Γλυκόζη 15% 0,1 mg/ml 15°C-25°C Προστατεύετε από το φως
24 Ώρα
435
Επίπεδο των αποδεικτικών στοιχείων D

Πολυβινυλοχλωρίδιο Γλυκόζη 20% 0,1 mg/ml 15°C-25°C Προστατεύετε από το φως
24 Ώρα
435
Επίπεδο των αποδεικτικών στοιχείων D

Πολυολεφίνη Γλυκόζη 5% 0,47 >> 0,75 mg/ml 25°C Φως
24 Ώρα
497
Επίπεδο των αποδεικτικών στοιχείων C+

Πολυολεφίνη Γλυκόζη 5% 0,92 >> 1,4 mg/ml 25°C Απροσδιόριστο
36 Ώρα
439
Επίπεδο των αποδεικτικών στοιχείων A+

Πολυολεφίνη Γλυκόζη 5% 0,92 >> 1,4 mg/ml 6°C Προστατεύετε από το φως
36 Ώρα
439
Επίπεδο των αποδεικτικών στοιχείων A+

Ελαστομερές πολυισοπρένιο Γλυκόζη 5% 0,2 & 0,5 mg/ml 4°C Προστατεύετε από το φως
10 Ημέρα
604
Δεδομένα σταθερότητας του κατασκευαστή/ών


  Mentions Légales