Son güncelleme :
18/03/2026
Antiparazitik   Artesunate  
Fitil
Enjeksiyon
Farmasötik preparatlar Kararlılığı Karışımlardaki stabilitesi Stabiliteyi etkileyen faktörler Uyumluluk Kaynaklar pdf
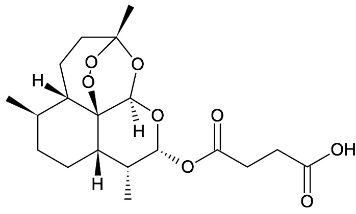
   Kimyasal yapı   

Fitil
Farmasötik preparatlar Kararlılığı   Fitil   Farmasötik preparatlar Kararlılığı : Artesunate     
Saklama kabı Origine yardımcı madde Isı Saklama    Stabilite süresi Kaynaklar
Cam Toz 5 g
Artesunate
Carbopol® 974P 0.8 g
Etanol 10 g
NaOH 5M 1.64 g
Arıtılmış su 86.36 g
22°C Belirtilmemiş
3 Gün
2655


  Mentions Légales