Viimeisin päivitys :
18/03/2026
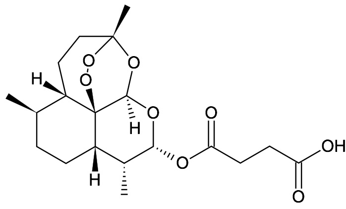
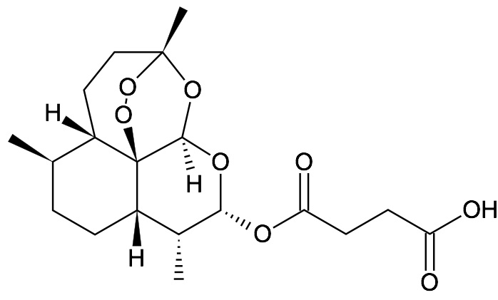
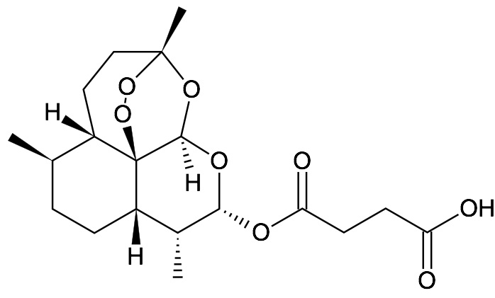
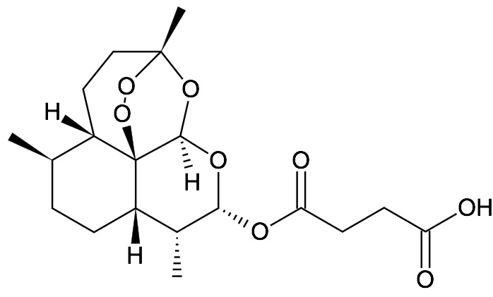
Antiparasiitit   Artesunate  
Peräpuikko
Injektioneste
Vakaus lääkevalmisteen Stabilius seoksissa Tekijät, jotka vaikuttavat stabiliuteen Yhteensopivuus Viitteet pdf
   Kemiallinen rakenne  

Peräpuikko
Vakaus lääkevalmisteen   Peräpuikko   Vakaus lääkevalmisteen : Artesunate     
Astia Origine Apuaine Lämpötila Säilytys Vakauden kesto Viitteet
Lasi Jauhe 5 g
Artesunate
Carbopol® 974P 0.8 g
Etanoli 10 g
NaOH 5M 1.64 g
Puhdistettu vesi 86.36 g
22°C Ei määritetty
3 Päivä
2655


  Mentions Légales