Zadnji put ažurirano :
17/12/2025
protuparazitski   Artesunate  
čepić
injekcija
Stabilnost farmaceutskih pripravaka Stabilnost mješavine Stabilizacijski faktor Kompatibilnosti Bibliografija pdf
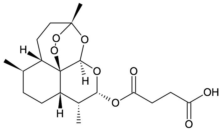
   Kemijska struktura  

čepić
Stabilnost farmaceutskih pripravaka   čepić   Stabilnost farmaceutskih pripravaka : Artesunate     
Kontejner Origine pomoćna tvar temperatura Konzerviranje Trajanje stabilnosti Bibliografija
čaša prašak 5 g
Artesunate
Carbopol® 974P 0.8 g
Etanol 10 g
NaOH 5M 1.64 g
pročišćena voda 86.36 g
22°C nespecifičan
3 dan
2655


  Mentions Légales