Senaste uppdateringen :
18/03/2026
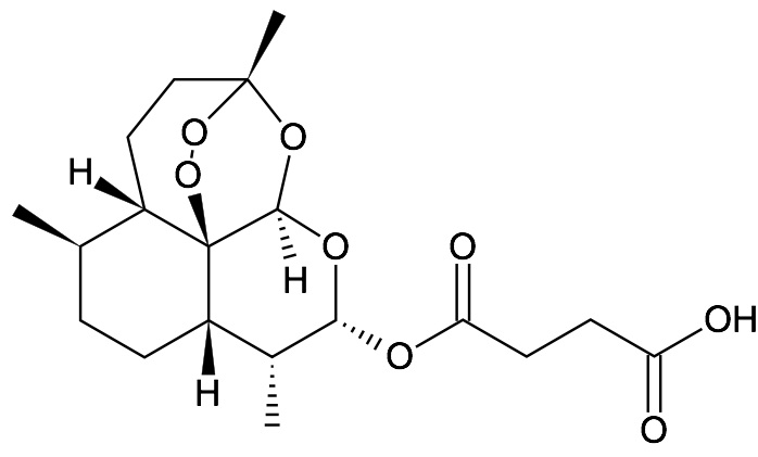
Antiparasitärt medel   Artesunate  
Stolpiller
injektion
Stabilitet av läkemedel Stabilitet i blandningar Faktorer som påverkar stabiliteten Kompatibilitet Hänvisningar pdf
   Molekylstruktur  

Stolpiller
Stabilitet av läkemedel   Stolpiller   Stabilitet av läkemedel : Artesunate     
Behållare Origine Hjälpämne Temperatur Förvaring Stabilitets varaktighet Hänvisningar
Glas Pulver 5 g
Artesunate
Carbopol® 974P 0.8 g
Etanol 10 g
Natriumhydroxid 5M 1.64 g
Renat vatten 86.36 g
22°C Ej angiven
3 Dag
2655


  Mentions Légales