最新更新 :
18/03/2026
抗寄生虫薬   Artesunate  
坐薬
注射薬
調剤時の安定性 混合時の安定性 安定性に影響する因子 互換性 引用文献 PDF
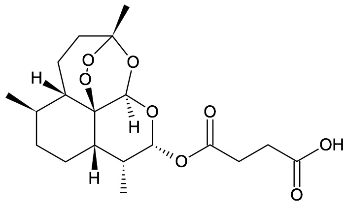
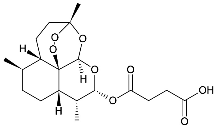
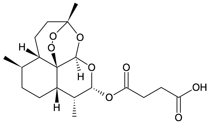
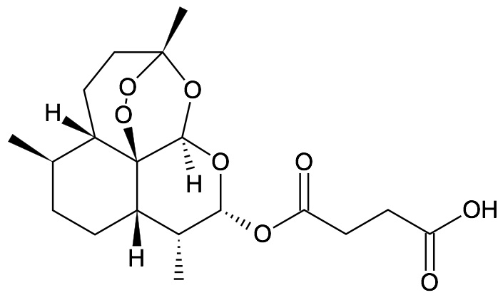
   化学構造  

坐薬
調剤時の安定性   坐薬   調剤時の安定性 : Artesunate     
容器 Origine 添加剤 温度 保管 安定期間 引用文献
ガラス 粉 5 g
Artesunate
Carbopol® 974P 0.8 g
エタノール 10 g
NaOH 5M 1.64 g
精製水 86.36 g
22°C 特記なし
3 日
2655


  Mentions Légales