Последнее обновление :
18/03/2026
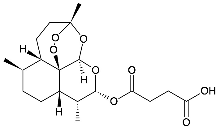
Противопаразитарное средство   Artesunate  
Суппозиторий (свеча)
Инъекция
Стабильность фармацевтических препаратов Стабильность смесей Факторы, которые влияют на стабильность Совместимость Библиография pdf
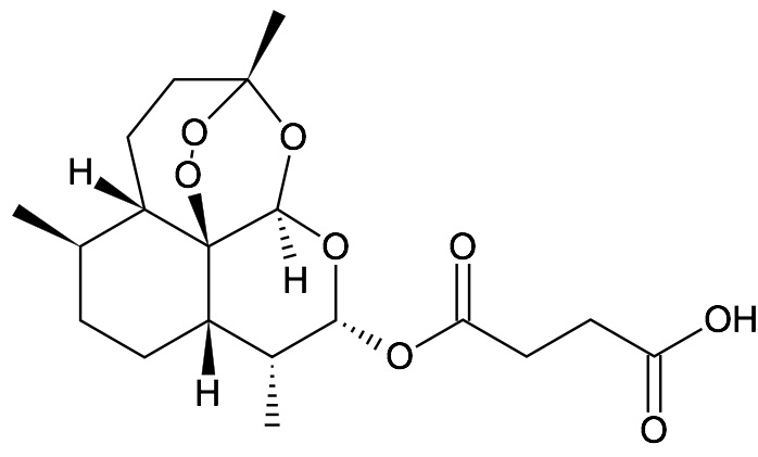
   Химическая структура  

Суппозиторий (свеча)
Стабильность фармацевтических препаратов   Суппозиторий (свеча)   Стабильность фармацевтических препаратов : Artesunate     
Упаковка Origine Наполнитель Температура Хранение Продолжительность стабильности Ссылки
Стекло Порошок 5 g
Artesunate
Carbopol® 974P 0.8 g
Этиловый спирт 10 g
NaOH 5M 1.64 g
Очищенная вода 86.36 g
22°C Не указано
3 День
2655


  Mentions Légales