Ultimo aggiornamento :
18/03/2026
Antiparassitario   Artesunate  
supposta
Iniezione
Stabilità dei preparati farmaceutici Stabilità in miscela Fattori che influenzano la stabilità Compatibilità Bibliografia pdf
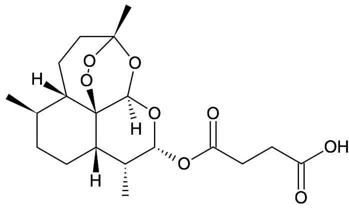
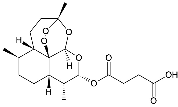
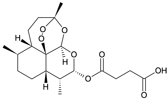
   Struttura chimica  

supposta
Stabilità dei preparati farmaceutici   supposta   Stabilità dei preparati farmaceutici : Artesunate     
contenitore Origine eccipiente Temperatura Conservazione Durata della stabilità Bibliografia
Vetro polvere 5 g
Artesunate
Carbopol® 974P 0.8 g
Etanolo 10 g
NaOH 5M 1.64 g
Acqua depurata 86.36 g
22°C Non precisata
3 Giorno
2655


  Mentions Légales