Utolsó frissítés :
18/03/2026
Parazitaellenes szer   Artesunate  
kúp
Injekció
Stabilitása gyógyszerészeti készítmények A keverékek stabilitása Stabilitást befolyásoló tényezők Kompatibilitás Irodalom pdf
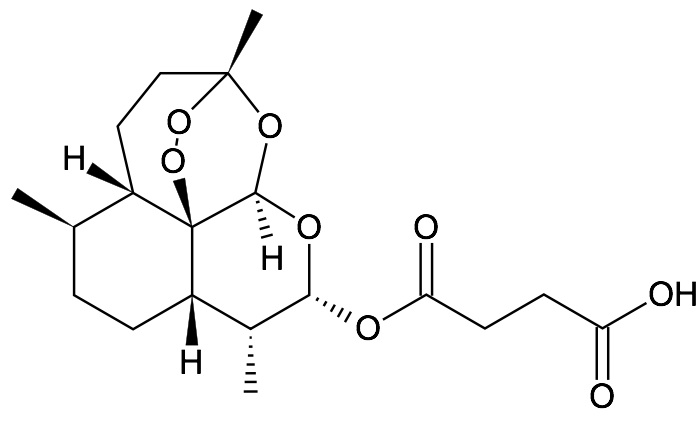
   Kémiai szerkezet   

kúp
Stabilitása gyógyszerészeti készítmények   kúp   Stabilitása gyógyszerészeti készítmények : Artesunate     
Csomagolás Origine segédanyag Hőmérséklet Tárolás A stabilitás időtartama Irodalom
Üveg por 5 g
Artesunate
Carbopol® 974P 0.8 g
Etanol 10 g
NaOH 5M 1.64 g
Tisztított víz 86.36 g
22°C Nincs meghatározva
3 Nap
2655


  Mentions Légales