viimane versioon :
17/12/2025
Parasiidivastane ravim   Artesunate  
ravimküünal
Süsteravim
Stabiilsust ravimpreparaadid Stabiilsust mõjutavad tegurid stabiilsust mõjutavad faktorid Sobimatus Viited pdf
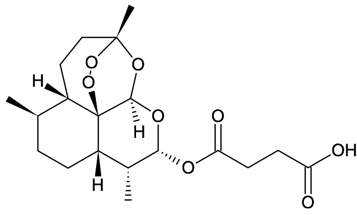
   keemiline struktuur  

ravimküünal
Stabiilsust ravimpreparaadid   ravimküünal   Stabiilsust ravimpreparaadid : Artesunate     
konteiner Origine  abiaine temperatuur ladustamine Stabiilsuse kestus Viited
klaas pulber 5 g
Artesunate
Carbopol® 974P 0.8 g
Etanool 10 g
NaOH 5M 1.64 g
Puhastatud vesi 86.36 g
22°C pole täpsustatud
3 päev
2655


  Mentions Légales