Cập nhật lần cuối :
27/11/2025
Khác   N-acetylcysteine  
Khí dung
Dạng tiêm Dung dịch uống Thuốc nhỏ mắt
Tính ổn định của các chế phẩm Độ ổn định khi trộn lẫn Những yếu tố ảnh hưởng đến độ ổn định Khả năng tương thích Tài liệu tham khảo Pdf
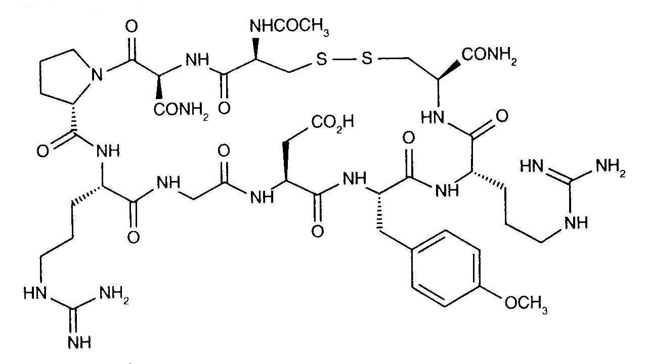
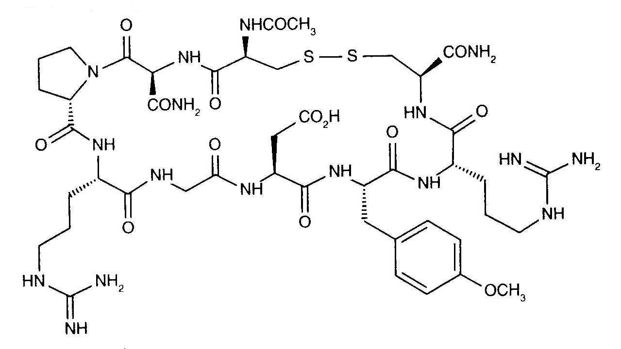
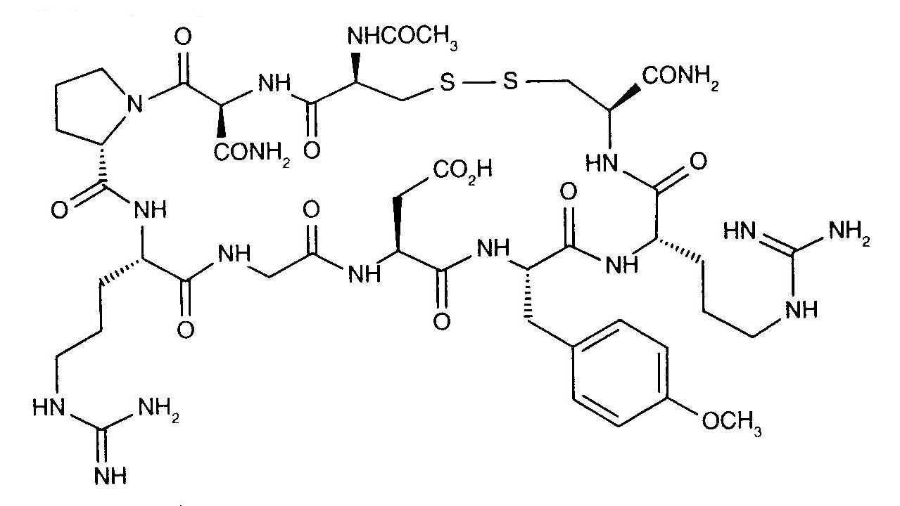
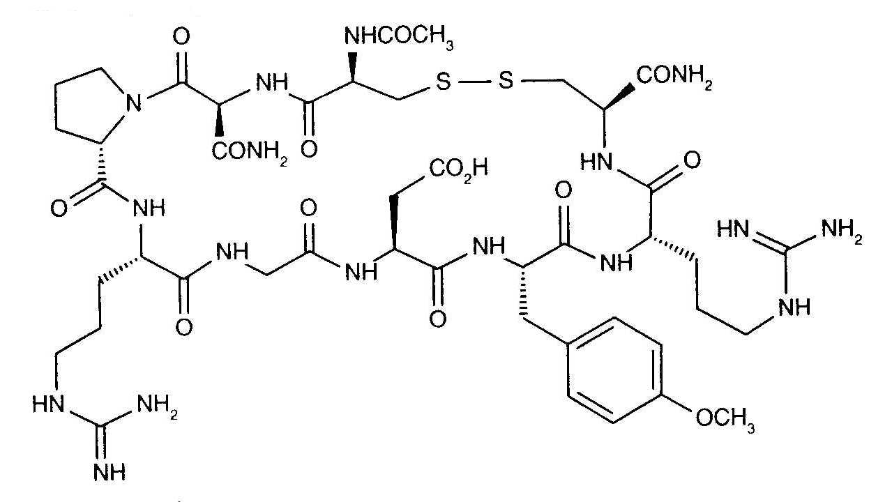
   Cấu trúc hóa học  

Khí dung

Những yếu tố ảnh hưởng đến độ ổn định   Khí dung   Những yếu tố ảnh hưởng đến độ ổn định : N-acetylcysteine        
Không có dữ liệu

  Mentions Légales