Pēdējā atjaunošana :
18/03/2026
Dažādi   N-acetylcysteine  
Aerosols
Acu pilieni Injekcija Orāls šķīdums
Stabilitāte farmaceitisko preparātu Maisījuma stabilitāte Stabilitāti ietekmējoši faktori Saderība Literatūras saraksts pdf
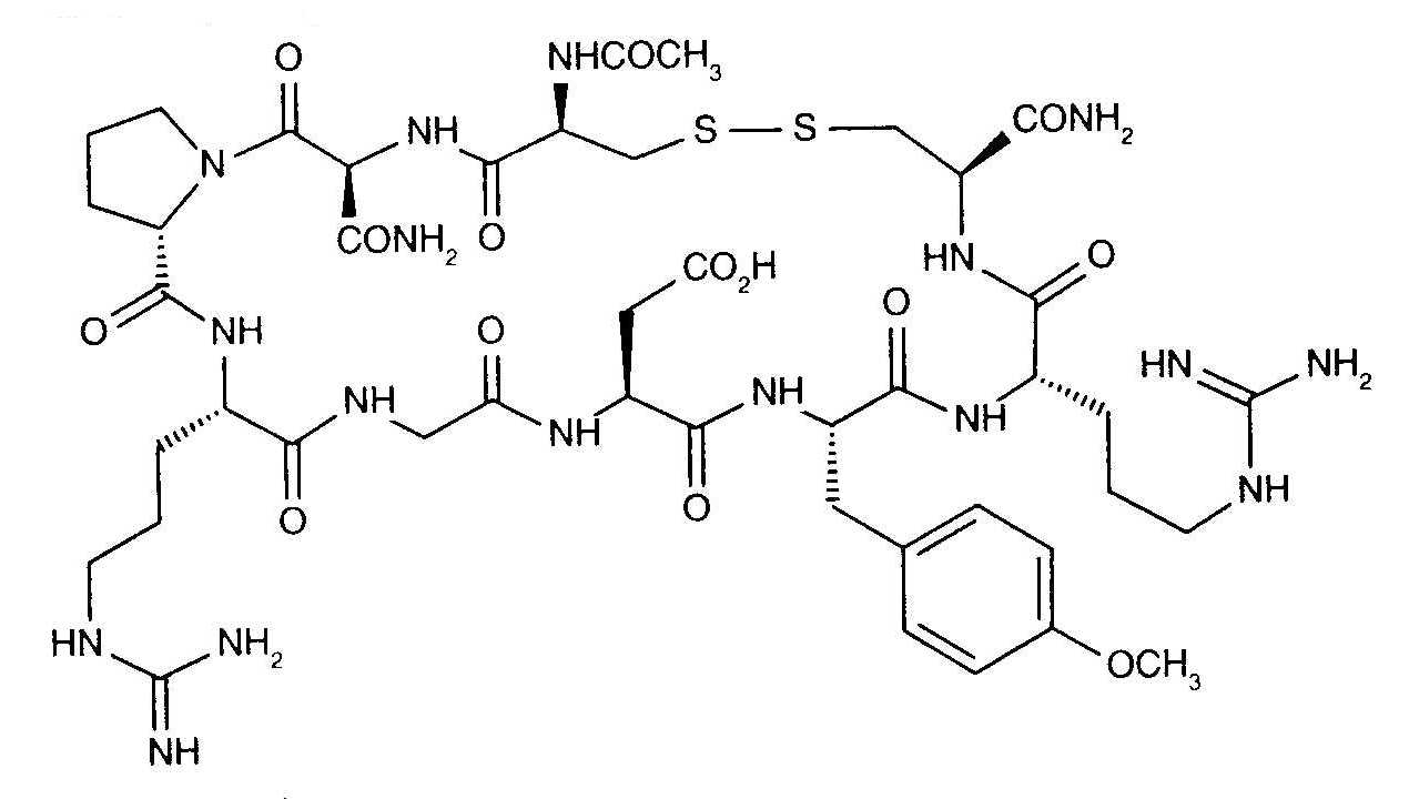
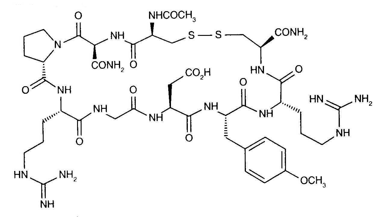
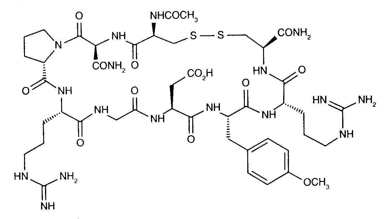
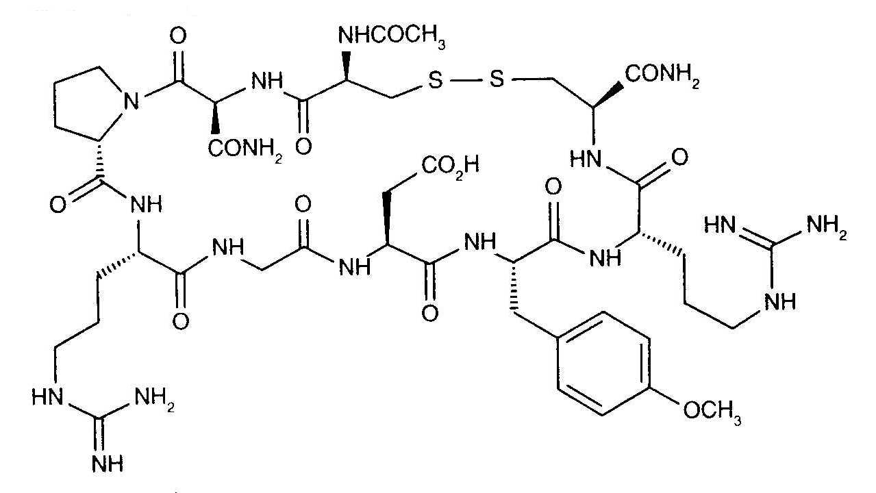
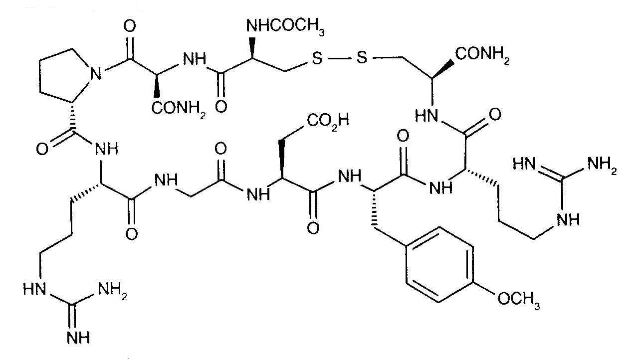
   Ķīmiskā uzbūve   

Aerosols

Stabilitāti ietekmējoši faktori   Aerosols   Stabilitāti ietekmējoši faktori : N-acetylcysteine        
Nav datu

  Mentions Légales