Dernière mise à jour :
27/11/2025
Divers   N-acetylcysteine  
Aérosol
Collyre injectable Solution buvable
Stabilité des préparations Stabilité en mélange Facteur influençant la stabilité Compatibilités Bibliographie pdf
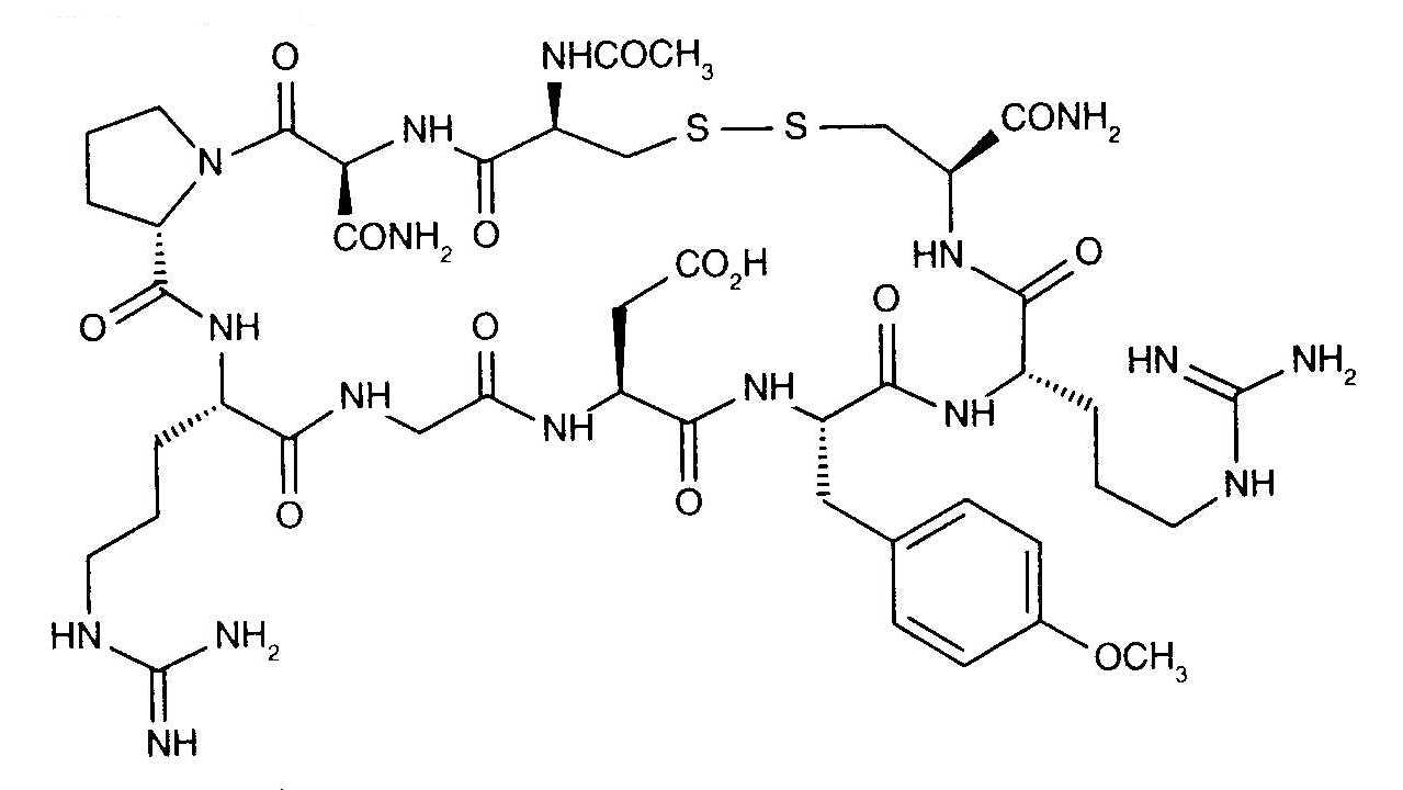
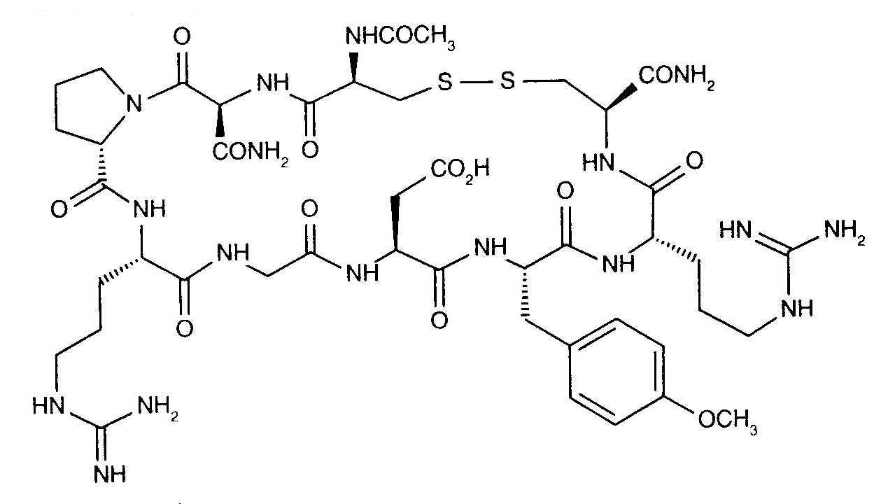
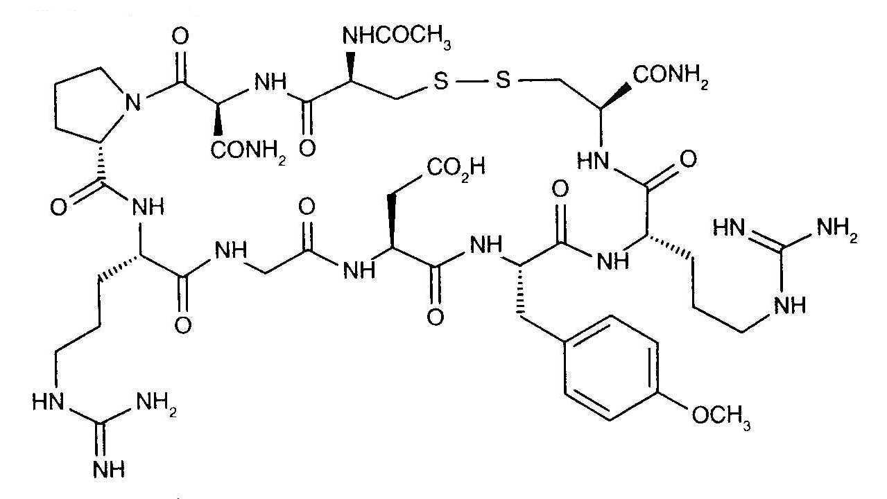
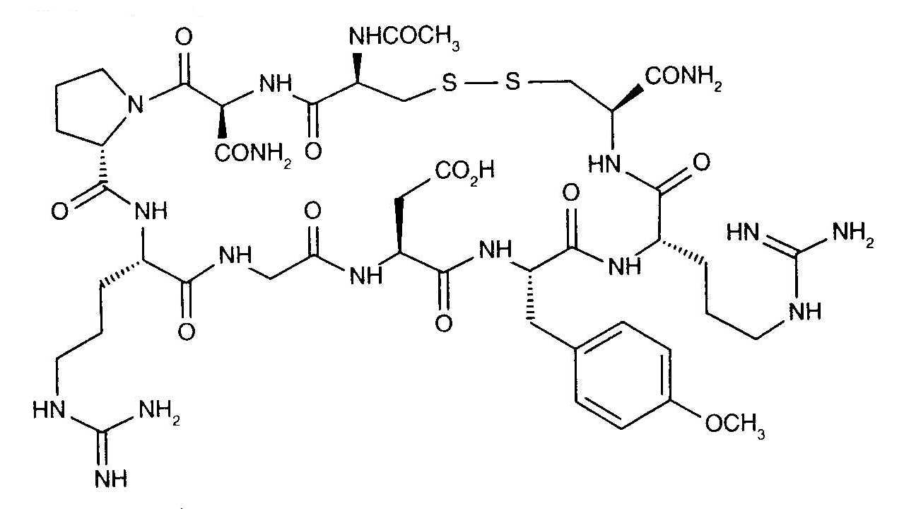
   Structure chimique  

Aérosol

Facteur influençant la stabilité   Aérosol   Facteur influençant la stabilité : N-acetylcysteine        
Aucune donnée

  Mentions Légales