Laatste update :
27/11/2025
Diverse   N-acetylcysteine  
Aerosol
injecteerbaar geneesmiddel Oogwater Orale Oplossing
Stabiliteit van farmaceutische preparaten Stabiliteit in mengsels Factoren die de stabiliteit beïnvloeden Verenigbaarheden Literatuur pdf
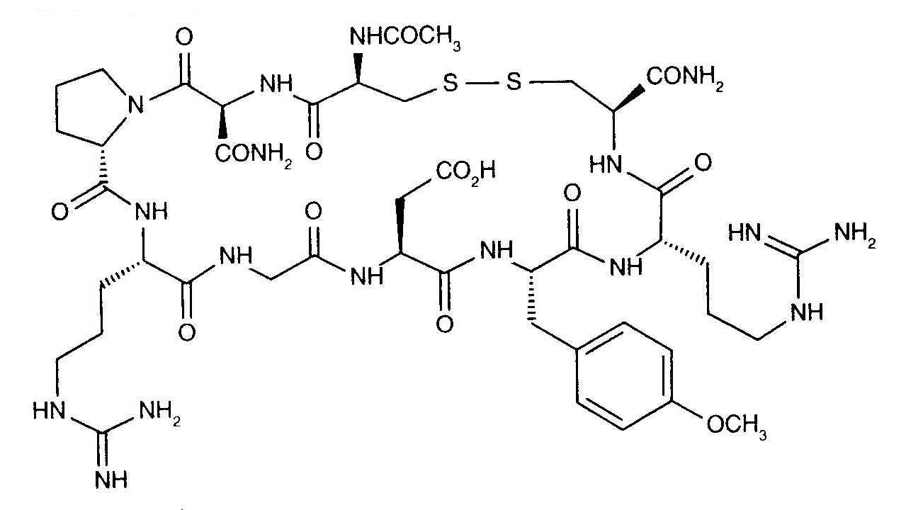
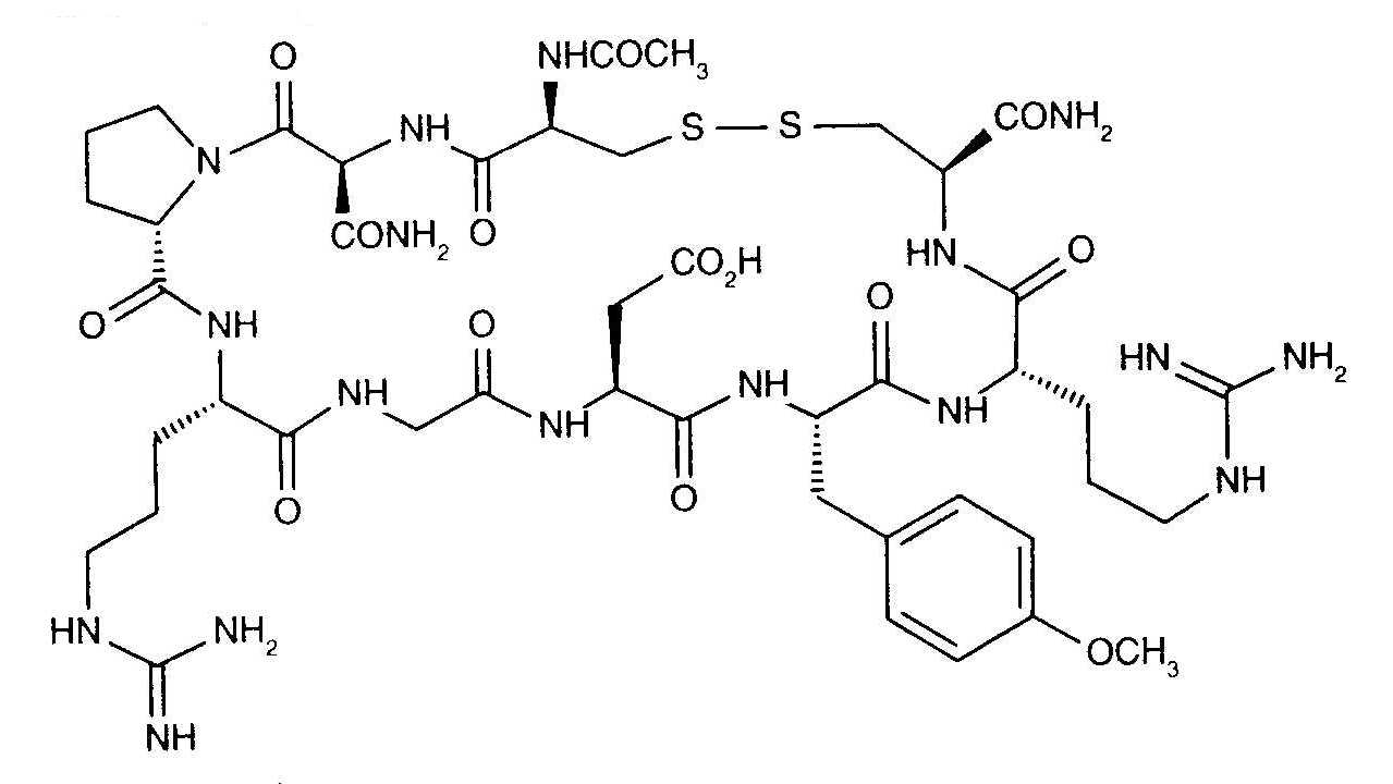
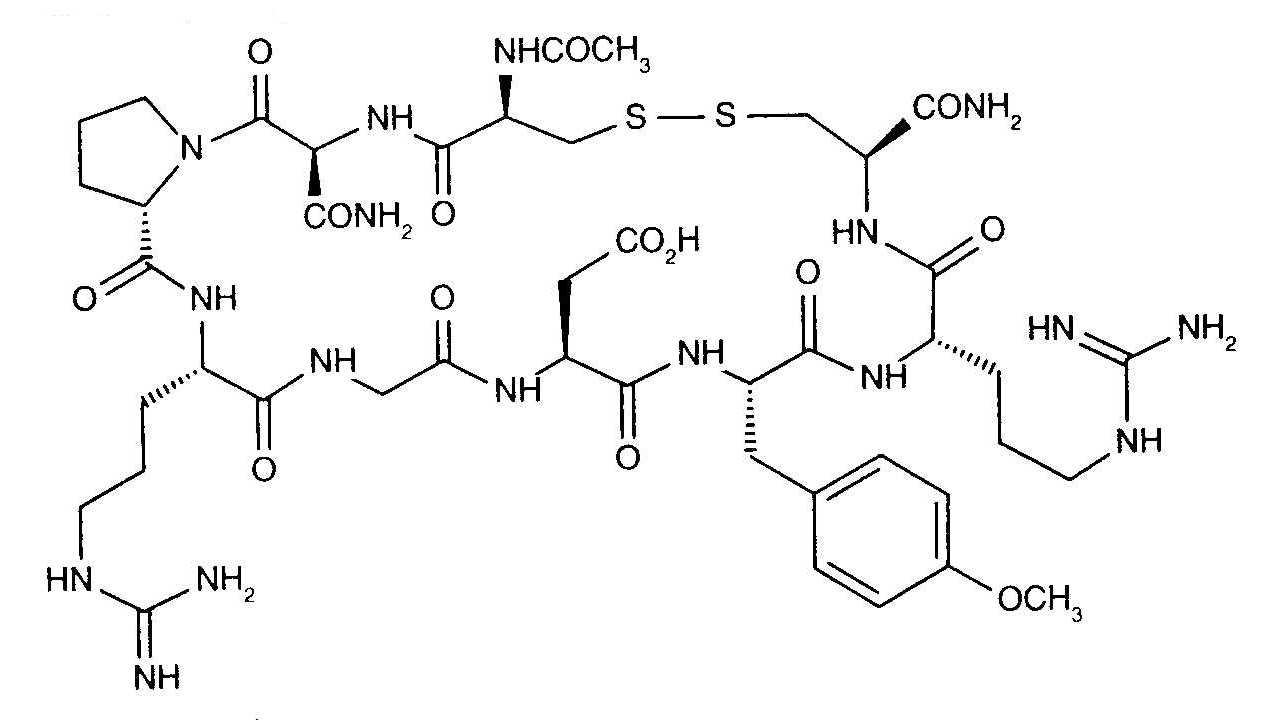
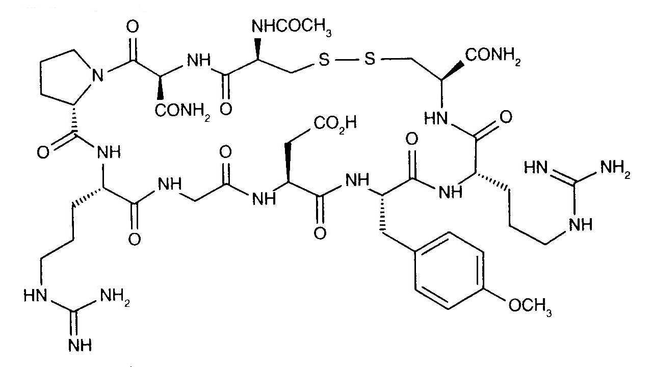
   Molecuulstructuur  

Aerosol

Factoren die de stabiliteit beïnvloeden   Aerosol   Factoren die de stabiliteit beïnvloeden : N-acetylcysteine        
geen gegevens

  Mentions Légales