Останнє оновлення :
18/03/2026
різноманітні   N-acetylcysteine  
аерозоль
ін'єкція Очні краплі Розчин для перорального застосування
Стабільність фармацевтичних препаратів Стійкість сумішей Фактори, що впливають на стабільність Сумісність Список літератури pdf
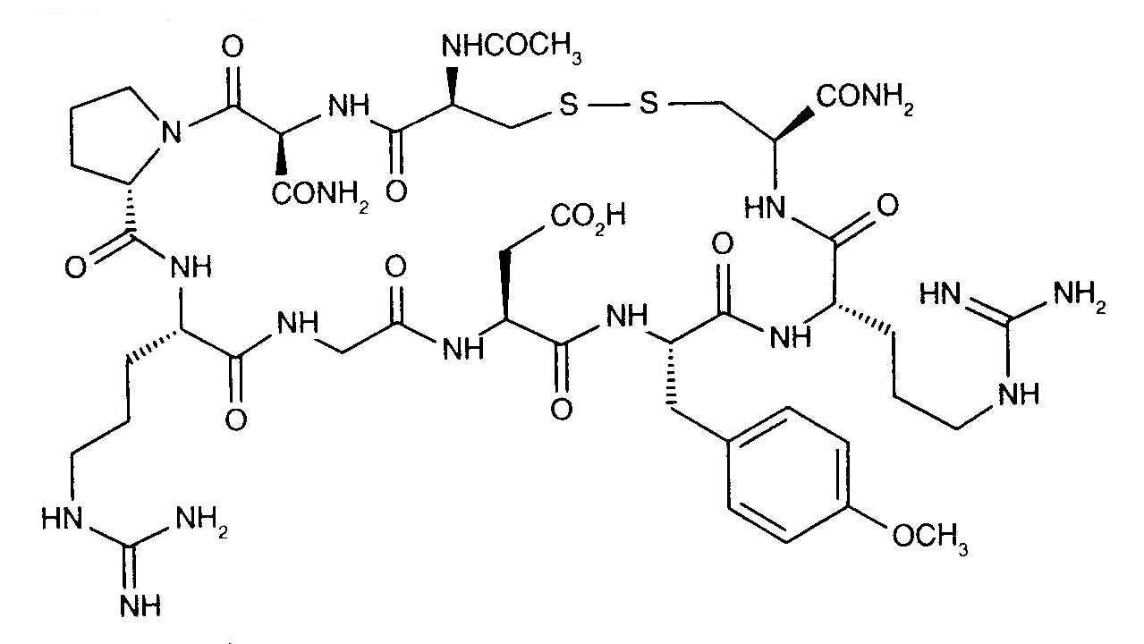
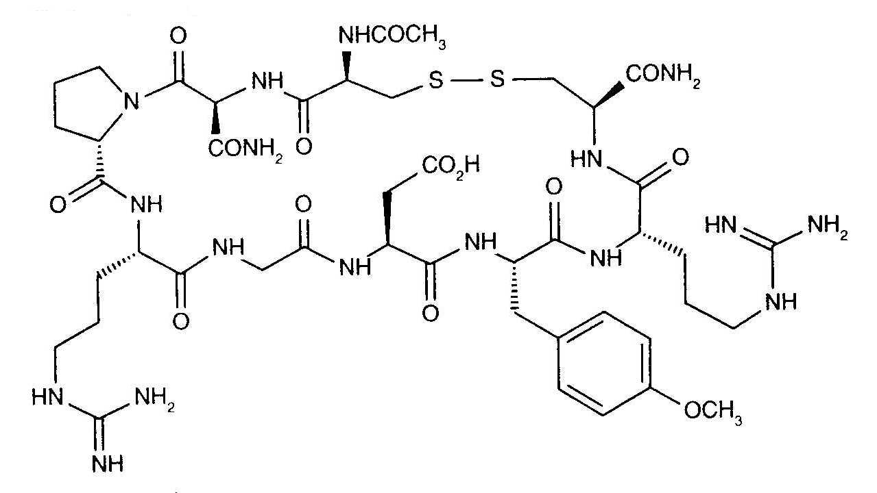
   Хімічна структура  

аерозоль

Фактори, що впливають на стабільність   аерозоль   Фактори, що впливають на стабільність : N-acetylcysteine        
7 / 5 000 Résultats de traduction Немає даних

  Mentions Légales