Zadnji put ažurirano :
18/03/2026
razno   N-acetylcysteine  
aerosol
injekcija kapi za oko oralna otopina
Stabilnost farmaceutskih pripravaka Stabilnost mješavine Stabilizacijski faktor Kompatibilnosti Bibliografija pdf
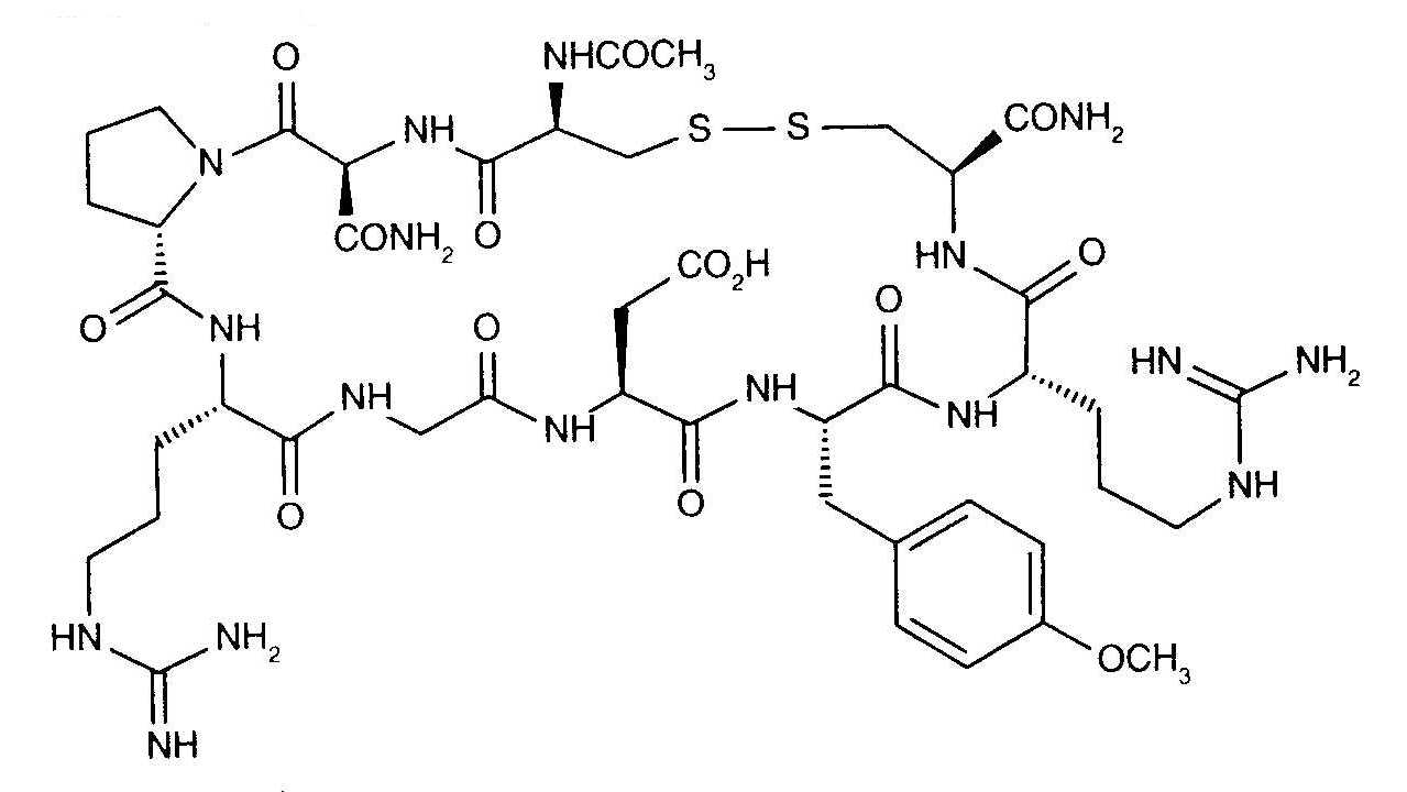
   Kemijska struktura  

aerosol

Stabilizacijski faktor   aerosol   Stabilizacijski faktor : N-acetylcysteine        
bez podataka

  Mentions Légales