آخر تحديث :
18/03/2026
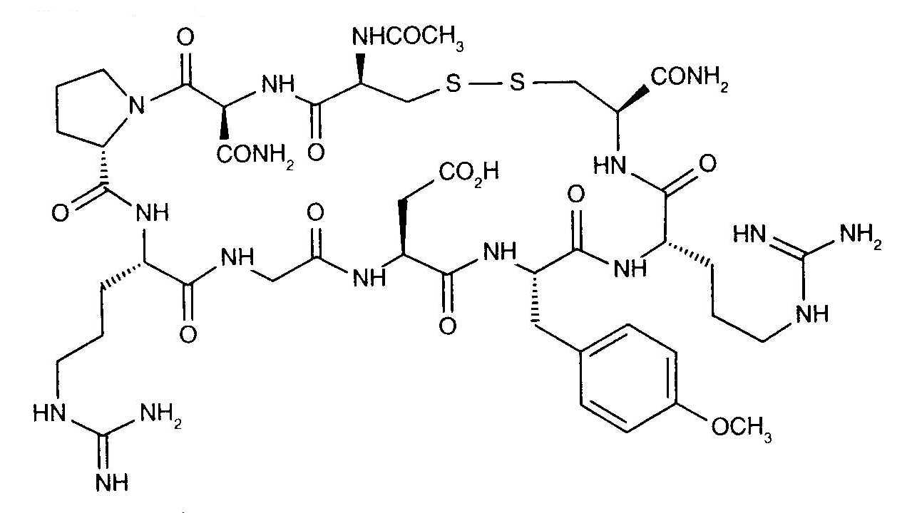
مختلف   N-acetylcysteine  
الأيروصولات
حقن عن طريق الفم  قطرات العين
استقرار المستحضرات الصيدلانية استقرار مخاليط العوامل التي تؤثر على الاستقرار التوافق مراجع pdf
   التركيب الكيميائي  

الأيروصولات

العوامل التي تؤثر على الاستقرار   الأيروصولات   العوامل التي تؤثر على الاستقرار : N-acetylcysteine        
لا توجد بيانات

  Mentions Légales