Seneste opdatering :
18/03/2026
Diverse   N-acetylcysteine  
Aerosol
Injektion Oral opløsning Øjendråber
Stabilitet af farmaceutiske tilberedninger Stabilitet i blandinger Faktorer der påvirker stabiliteten Kompatibilitet Bibliografi pdf
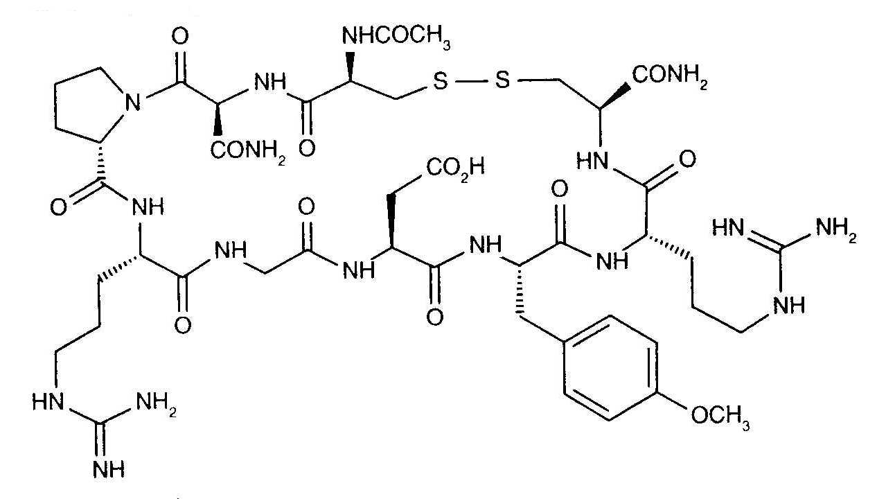
   Kemisk struktur  

Aerosol

Faktorer der påvirker stabiliteten   Aerosol   Faktorer der påvirker stabiliteten : N-acetylcysteine        
Ingen data

  Mentions Légales