最新更新 :
18/03/2026
其它   N-acetylcysteine  
气雾剂
口服剂 注射液 眼药水
制剂的稳定性 混合物稳定性 影响稳定性的因素 兼容性 引用文献 PDF
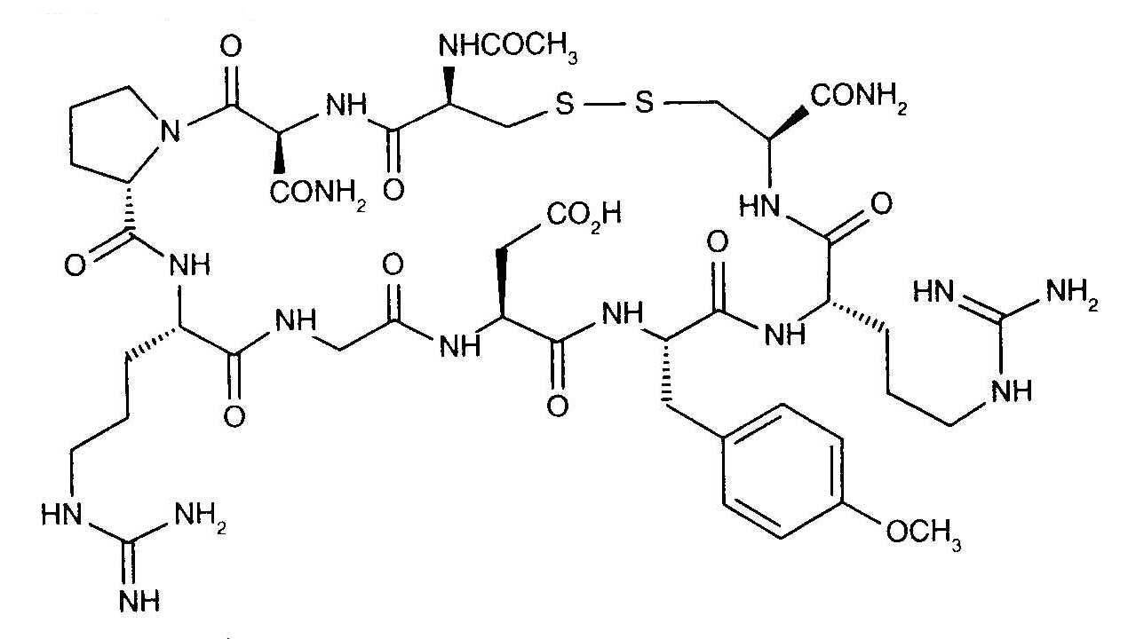
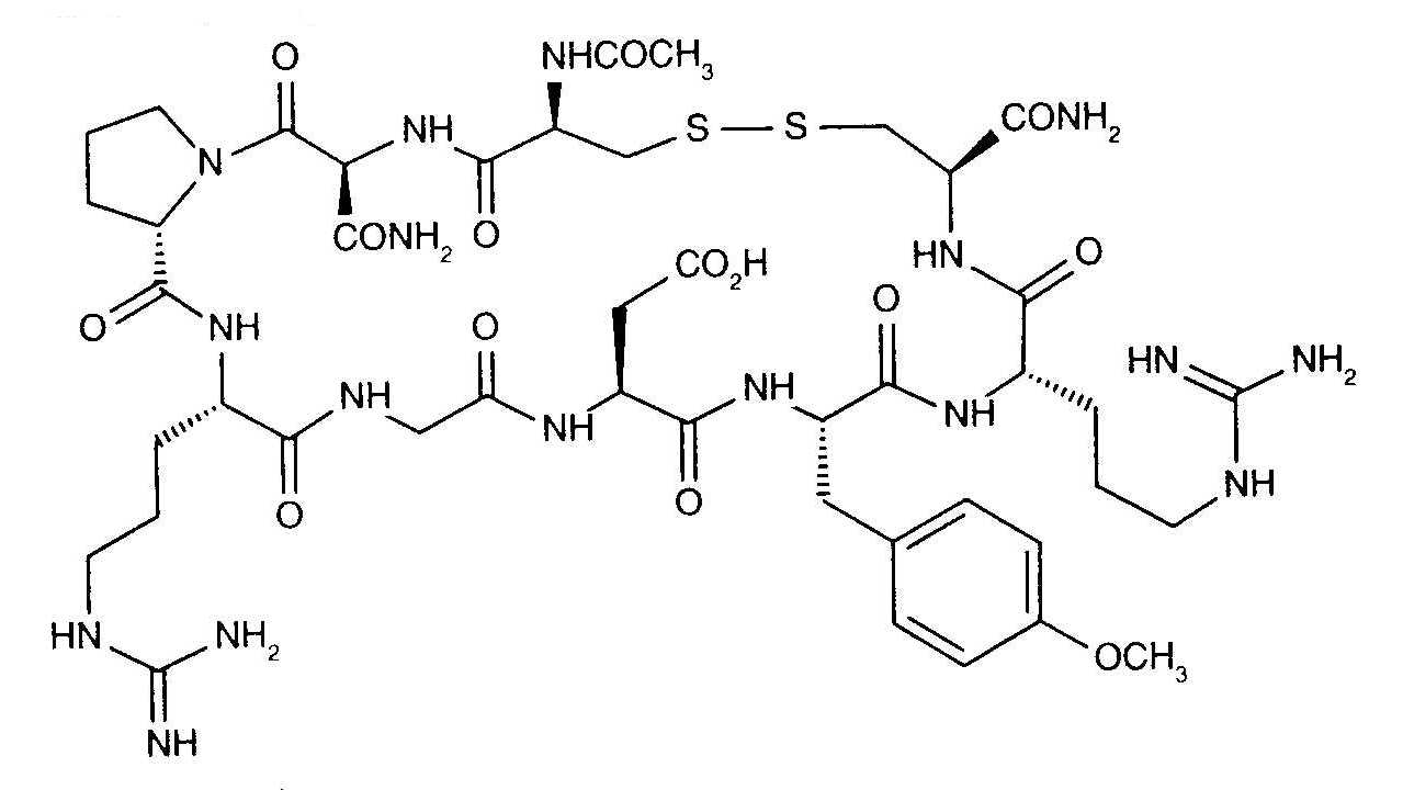
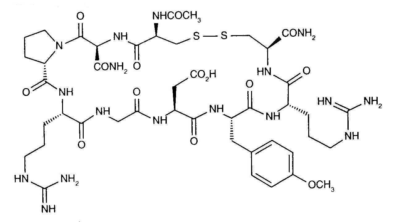
   化学式  

气雾剂

影响稳定性的因素   气雾剂   影响稳定性的因素 : N-acetylcysteine        
无数据

  Mentions Légales