Останнє оновлення :
18/03/2026
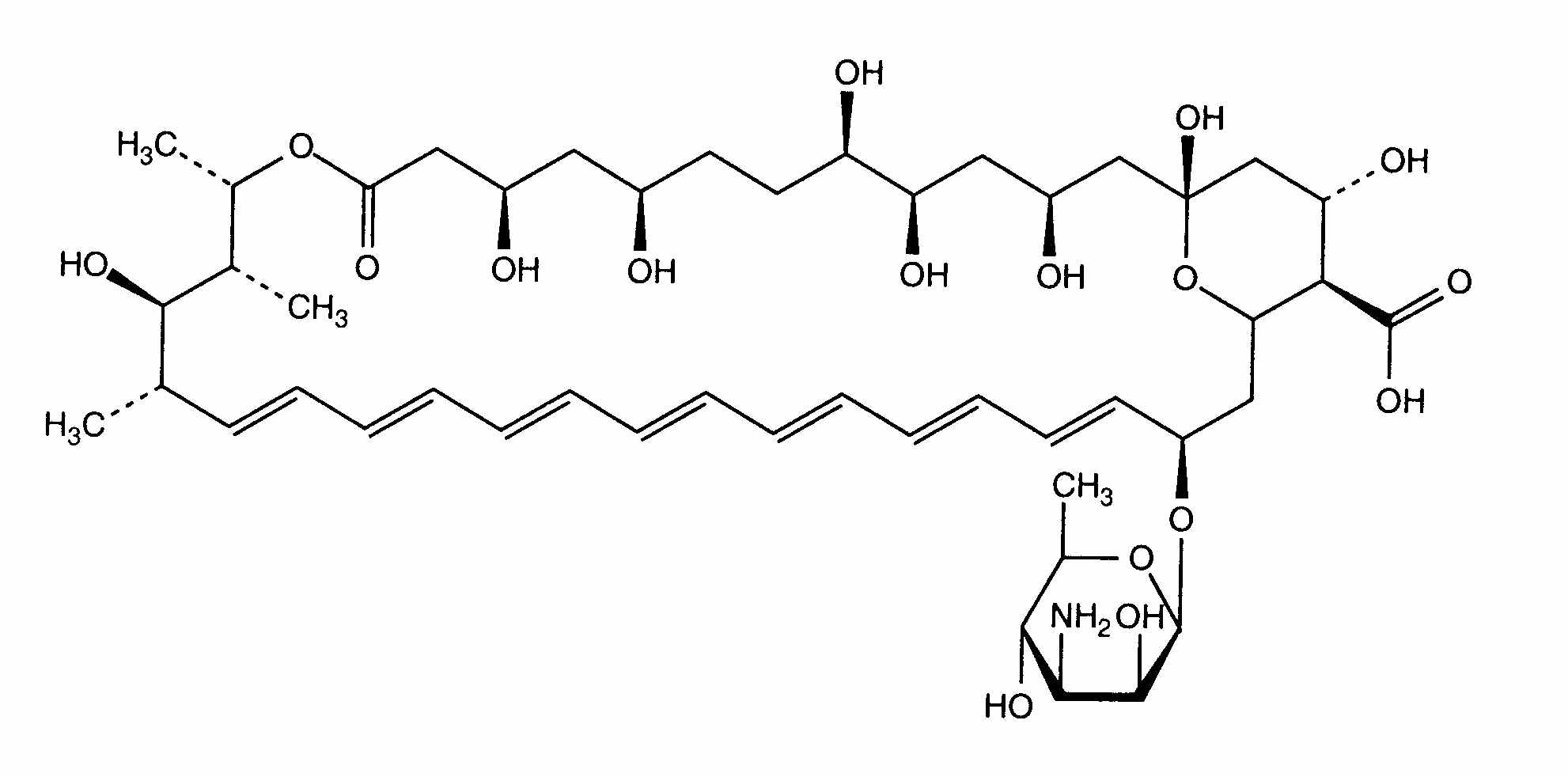
Протигрибковий   Amphotericin B  
Ополіскувач ротової порожнини
ін'єкція аерозоль Очні краплі Розчин для перорального застосування
Стабільність фармацевтичних препаратів Стійкість сумішей Фактори, що впливають на стабільність Сумісність Список літератури pdf
   Хімічна структура  

Ополіскувач ротової порожнини
Список літератури   Ополіскувач ротової порожнини   Список літератури : Amphotericin B  
Тип Публікація
2820 журнал Groeschke J, Solassol I, Bressolle F, Pinguet F.
Stability of amphotericin B and nystatin in antifungal mouthrinses containing sodium hydrogen carbonate
J Pharm Biomed Anal 2006 ; 42: 362-366.

  Mentions Légales