Ultimele actualizari :
18/03/2026
Antifungic   Amphotericin B  
Gargara
Aerosol colir Injectabil Soluţie orală
Stabilitatea preparatelor farmaceutice Stabilitatea in amestec Factorii care influenteaza stabilitatea Compatibilitate Bibliografie pdf
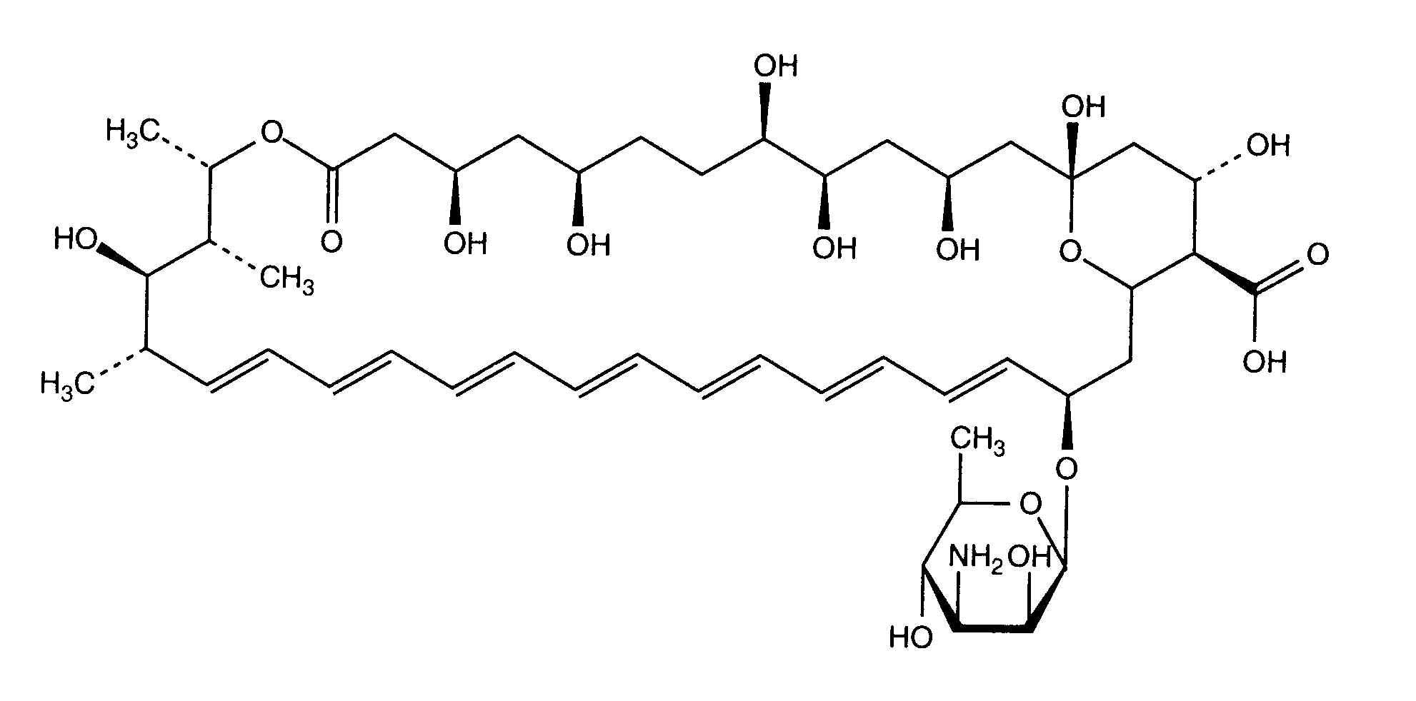
   Formula chimica  

Gargara
Bibliografie   Gargara   Bibliografie : Amphotericin B  
tip publicare
2820 ziar Groeschke J, Solassol I, Bressolle F, Pinguet F.
Stability of amphotericin B and nystatin in antifungal mouthrinses containing sodium hydrogen carbonate
J Pharm Biomed Anal 2006 ; 42: 362-366.

  Mentions Légales