Последнее обновление :
18/03/2026
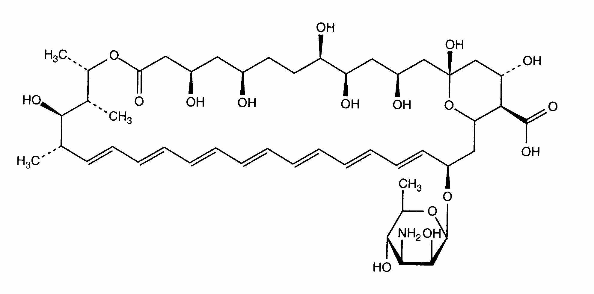
Противогрибковое средство   Amphotericin B  
Ополаскиватель для полости рта
Аэрозоль Глазные капли Инъекция Раствор для перорального приёма
Стабильность фармацевтических препаратов Стабильность смесей Факторы, которые влияют на стабильность Совместимость Библиография pdf
   Химическая структура  

Ополаскиватель для полости рта
Библиография   Ополаскиватель для полости рта   Библиография : Amphotericin B  
тип публикация
2820 Журнал Groeschke J, Solassol I, Bressolle F, Pinguet F.
Stability of amphotericin B and nystatin in antifungal mouthrinses containing sodium hydrogen carbonate
J Pharm Biomed Anal 2006 ; 42: 362-366.

  Mentions Légales