آخر تحديث :
18/03/2026
مضاد للفطريات   Amphotericin B  
غسول الفم
الأيروصولات حقن عن طريق الفم  قطرات العين
استقرار المستحضرات الصيدلانية استقرار مخاليط العوامل التي تؤثر على الاستقرار التوافق مراجع pdf
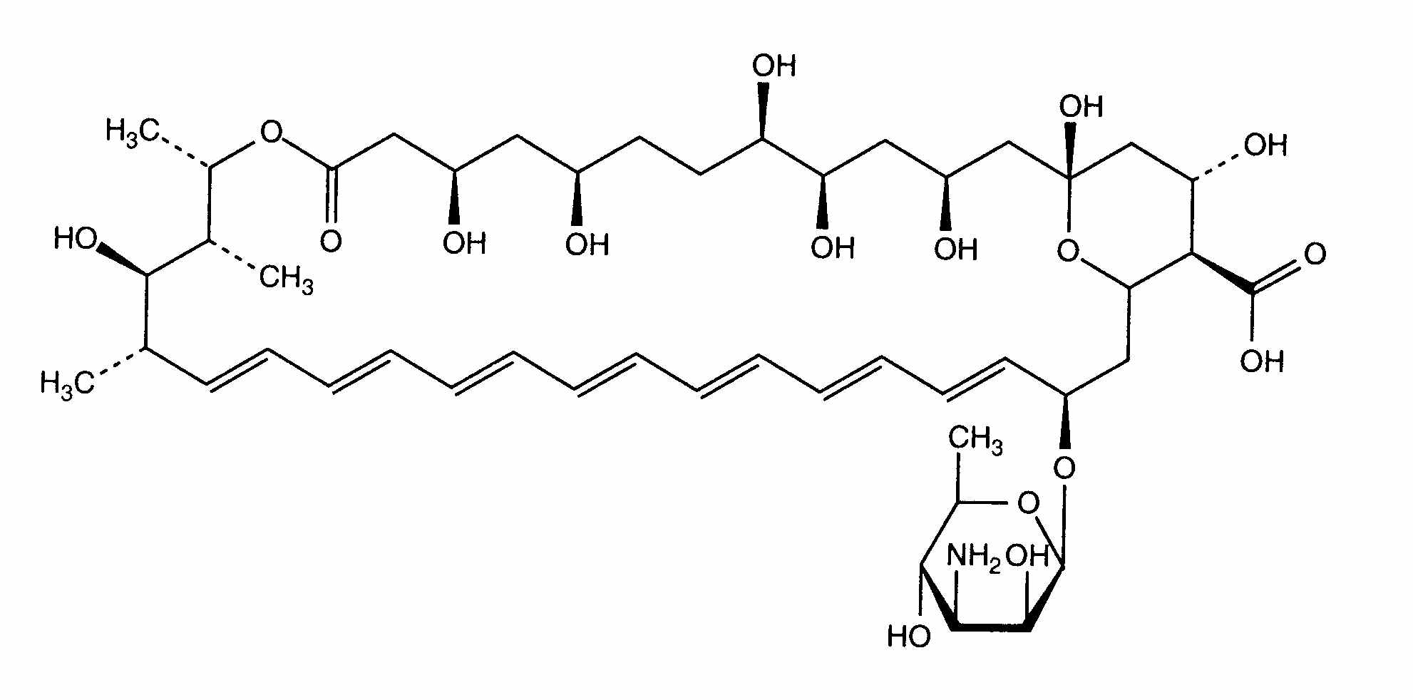
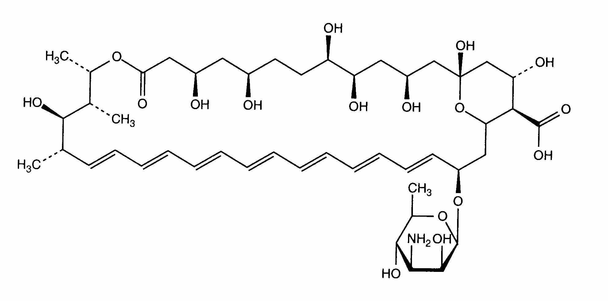
   التركيب الكيميائي  

غسول الفم
مراجع   غسول الفم   مراجع : Amphotericin B  
نوع منشور
2820 مجلة Groeschke J, Solassol I, Bressolle F, Pinguet F.
Stability of amphotericin B and nystatin in antifungal mouthrinses containing sodium hydrogen carbonate
J Pharm Biomed Anal 2006 ; 42: 362-366.

  Mentions Légales