Viimeisin päivitys :
18/03/2026
Sienilääkkeet   Amphotericin B  
Suuvesi
Aerosoli Injektioneste Oraaliliuos Silmätipat
Vakaus lääkevalmisteen Stabilius seoksissa Tekijät, jotka vaikuttavat stabiliuteen Yhteensopivuus Viitteet pdf
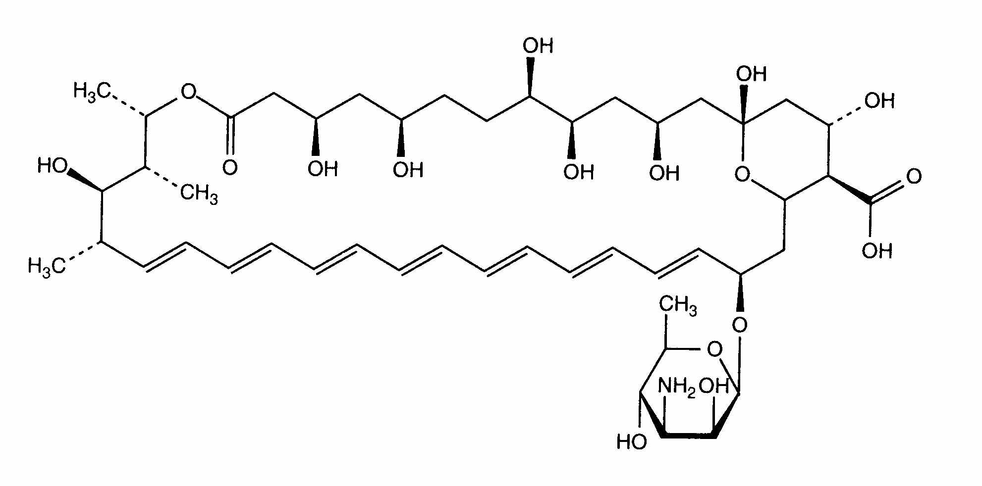
   Kemiallinen rakenne  

Suuvesi
Viitteet   Suuvesi   Viitteet : Amphotericin B  
tyyppi julkaisu
2820 Lehti Groeschke J, Solassol I, Bressolle F, Pinguet F.
Stability of amphotericin B and nystatin in antifungal mouthrinses containing sodium hydrogen carbonate
J Pharm Biomed Anal 2006 ; 42: 362-366.

  Mentions Légales