viimane versioon :
18/03/2026
Seenevastane ravim   Amphotericin B  
Suuloputus lahus
aerosool Silmatilgad Süsteravim suukaudne lahus
Stabiilsust ravimpreparaadid Stabiilsust mõjutavad tegurid stabiilsust mõjutavad faktorid Sobimatus Viited pdf
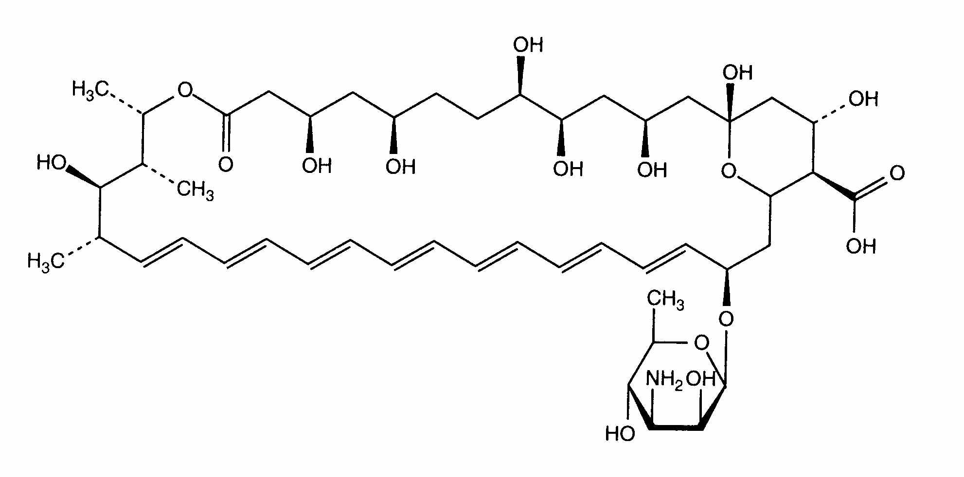
   keemiline struktuur  

Suuloputus lahus
Viited   Suuloputus lahus   Viited : Amphotericin B  
tüüp avaldamine
2820 ajaleht Groeschke J, Solassol I, Bressolle F, Pinguet F.
Stability of amphotericin B and nystatin in antifungal mouthrinses containing sodium hydrogen carbonate
J Pharm Biomed Anal 2006 ; 42: 362-366.

  Mentions Légales