Last update :
18/03/2026
Antifungal   Amphotericin B  
Mouthwash
aerosol Eye-drops injection Oral solution
Stability of pharmaceutical preparations Stability of mixtures Factors which affect stability Compatibility References pdf
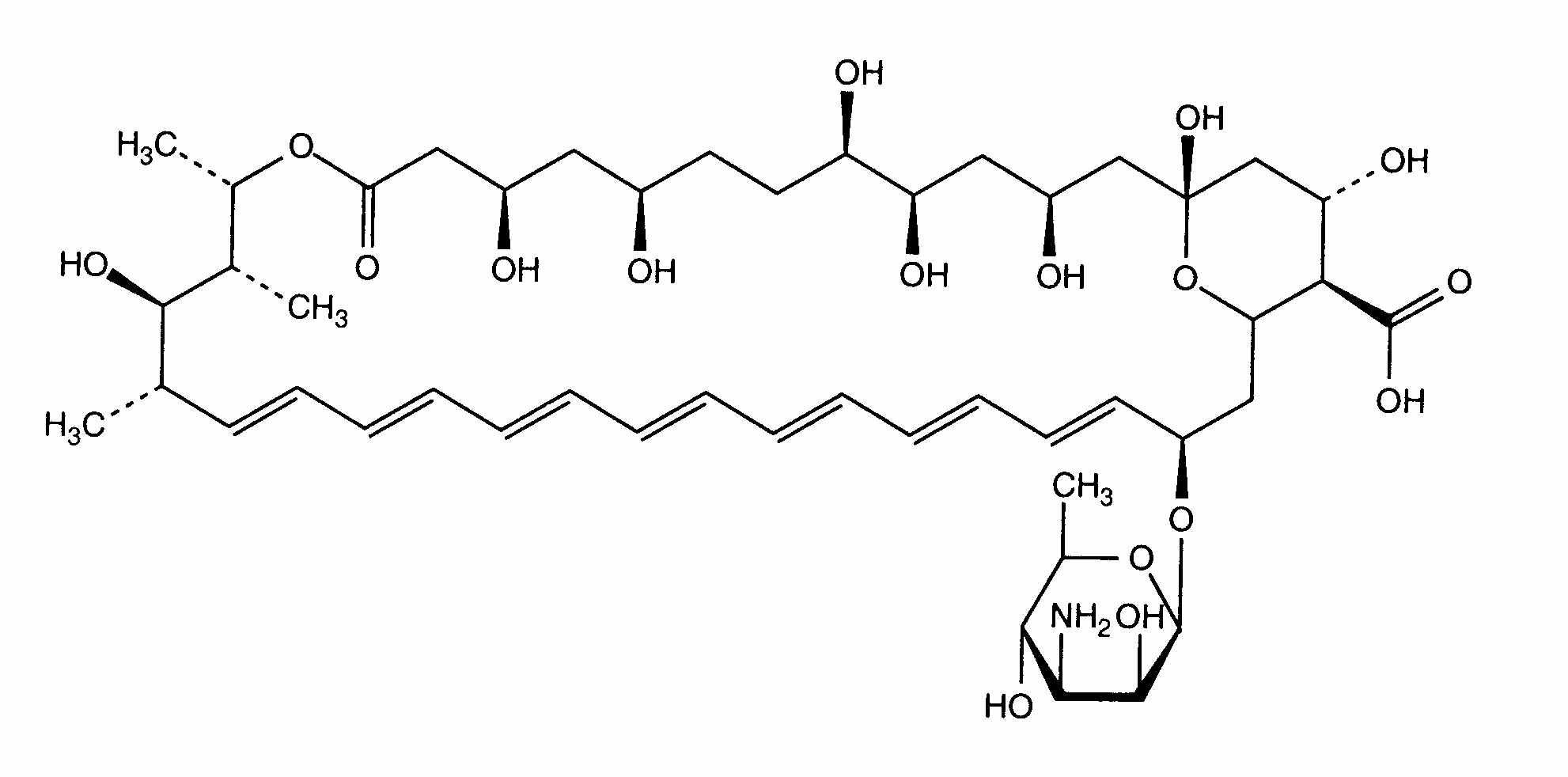
   Chemical structure  

Mouthwash
References   Mouthwash   References : Amphotericin B  
Type Publication
2820 Journal Groeschke J, Solassol I, Bressolle F, Pinguet F.
Stability of amphotericin B and nystatin in antifungal mouthrinses containing sodium hydrogen carbonate
J Pharm Biomed Anal 2006 ; 42: 362-366.

  Mentions Légales