Poslední aktualizace :
18/03/2026
Protiplísňový přípravek   Amphotericin B  
kloktadlo
Aerosol Humbuk injekce Perorální roztok
Stabilita farmaceutických přípravků Stabilita směsí Faktory ovlivňující stabilitu Kompatibilita Odkazy pdf
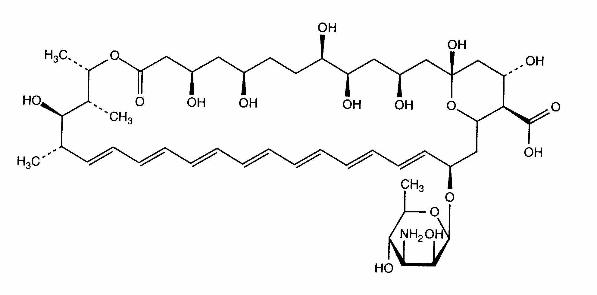
   Chemický vzorec  

kloktadlo
Odkazy   kloktadlo   Odkazy : Amphotericin B  
typ uveřejnění
2820 noviny Groeschke J, Solassol I, Bressolle F, Pinguet F.
Stability of amphotericin B and nystatin in antifungal mouthrinses containing sodium hydrogen carbonate
J Pharm Biomed Anal 2006 ; 42: 362-366.

  Mentions Légales