Utolsó frissítés :
18/03/2026
Gombaellenes szer   Amphotericin B  
Szájvíz
aeroszol belsőleges oldat Injekció Szemcsepp
Stabilitása gyógyszerészeti készítmények A keverékek stabilitása Stabilitást befolyásoló tényezők Kompatibilitás Irodalom pdf
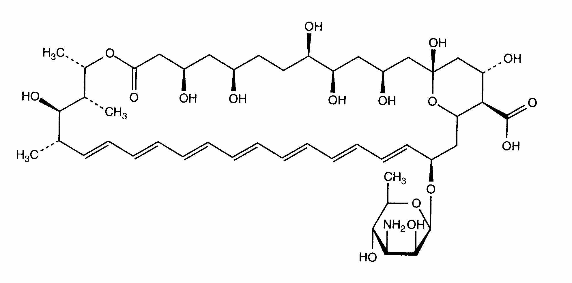
   Kémiai szerkezet   

Szájvíz
Irodalom   Szájvíz   Irodalom : Amphotericin B  
Type publikáció
2820 Napló Groeschke J, Solassol I, Bressolle F, Pinguet F.
Stability of amphotericin B and nystatin in antifungal mouthrinses containing sodium hydrogen carbonate
J Pharm Biomed Anal 2006 ; 42: 362-366.

  Mentions Légales