Última actualização :
18/03/2026
Antifúngico   Amphotericin B  
colutório
aerossol injetável solução oftálmica Solução Oral
Estabilidade de preparações farmacêuticas Estabilidade em misturas Factores que afectam a sua estabilidade Compatibilidade Bibliografía pdf
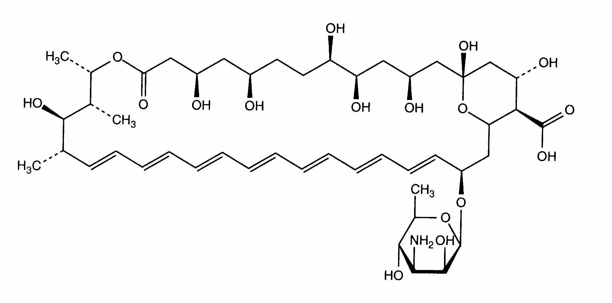
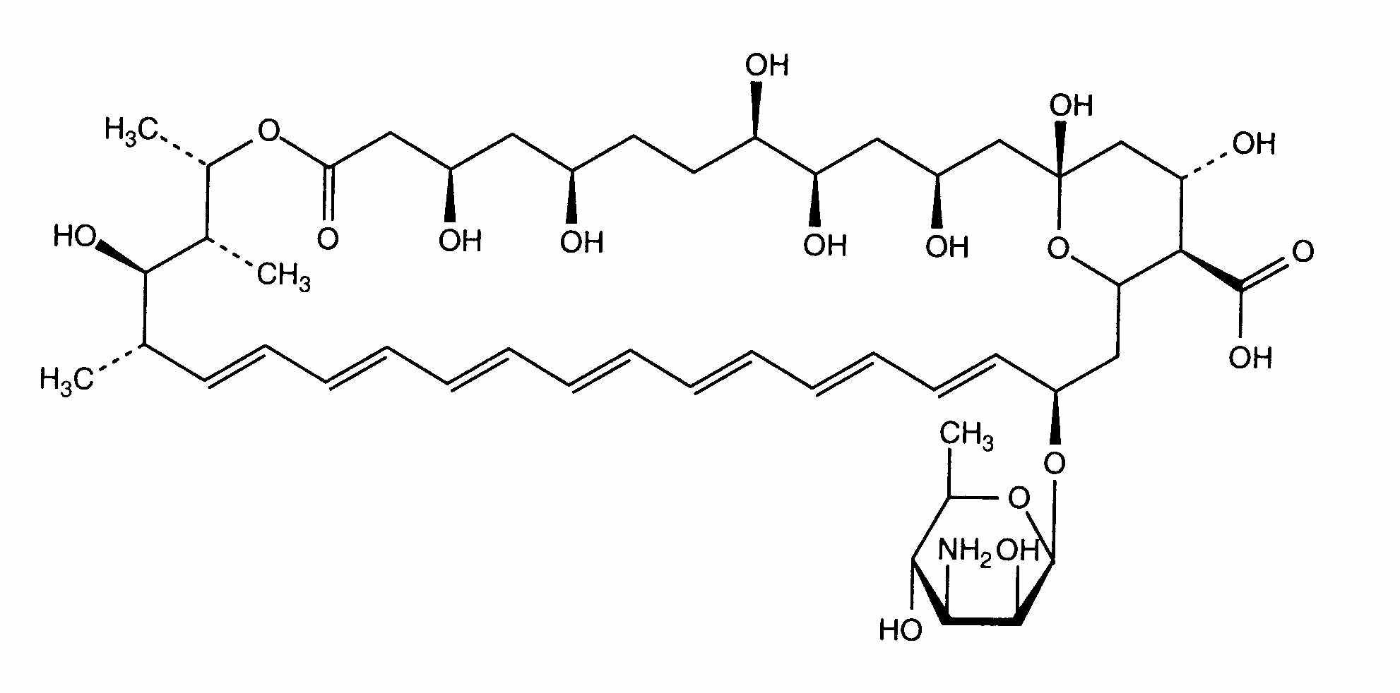
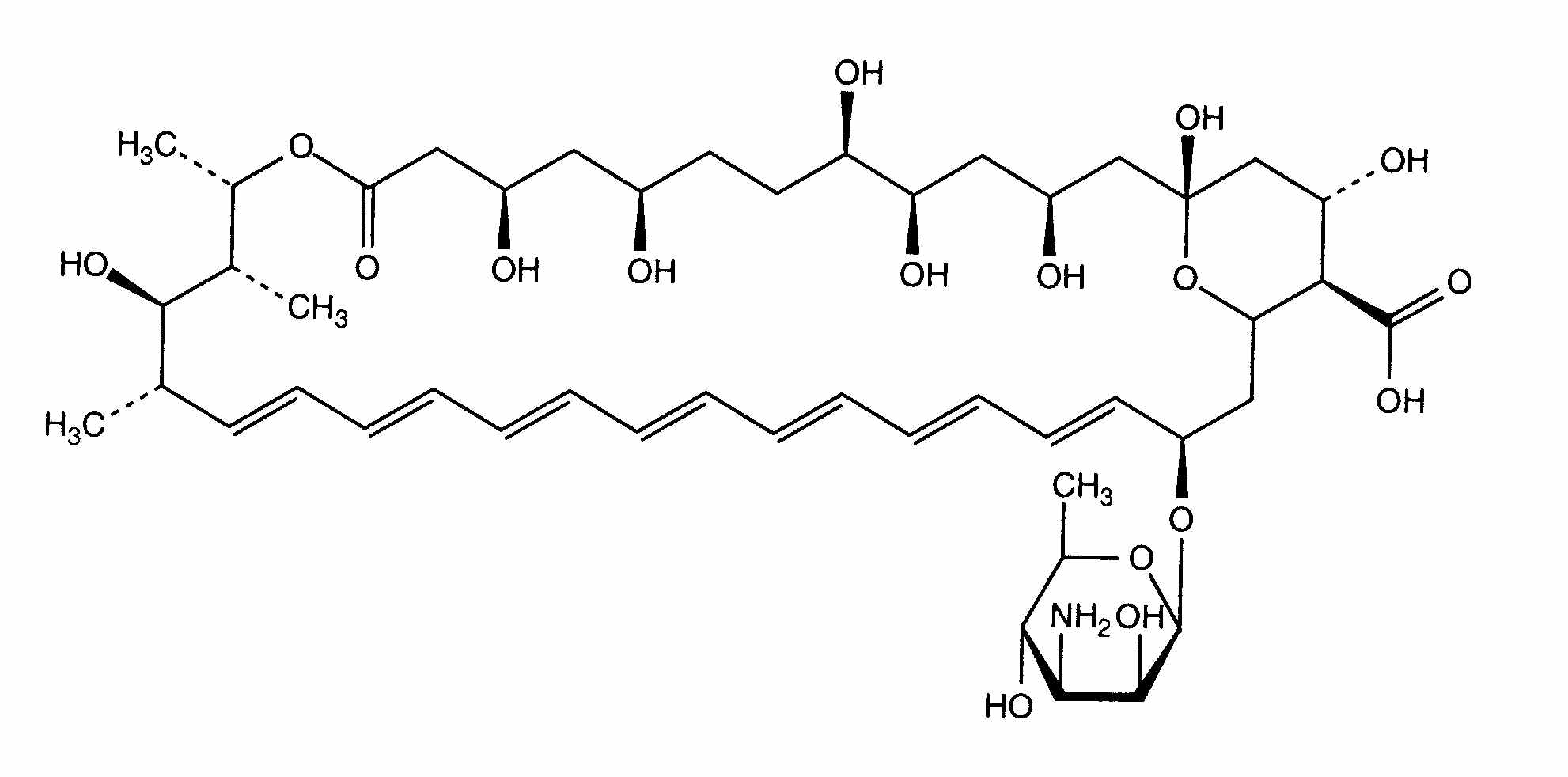
   estrutura química  

colutório
Bibliografía   colutório   Bibliografía : Amphotericin B  
tipo publicação
2820 jornal Groeschke J, Solassol I, Bressolle F, Pinguet F.
Stability of amphotericin B and nystatin in antifungal mouthrinses containing sodium hydrogen carbonate
J Pharm Biomed Anal 2006 ; 42: 362-366.

  Mentions Légales