Son güncelleme :
18/03/2026
Antifungal   Nystatin  
Gargara
Farmasötik preparatlar Kararlılığı Karışımlardaki stabilitesi Stabiliteyi etkileyen faktörler Uyumluluk Kaynaklar pdf
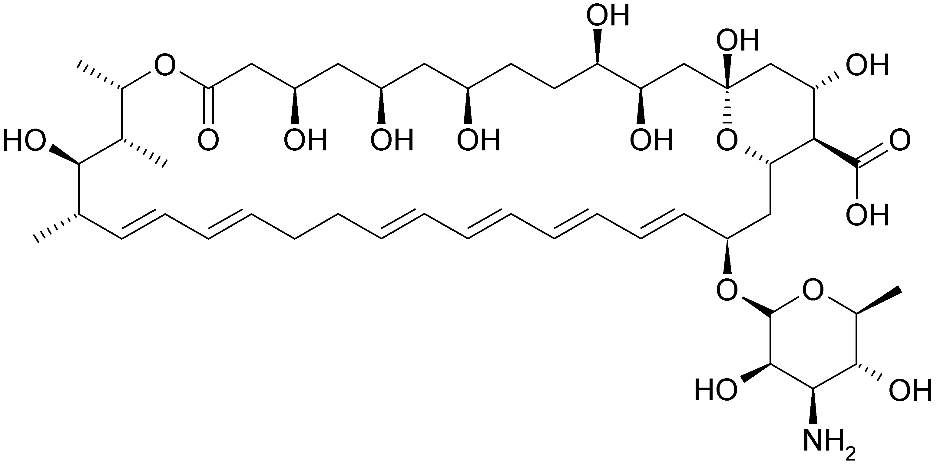
   Kimyasal yapı   

Gargara
Karışımlardaki stabilitesi   Gargara   Karışımlardaki stabilitesi : Nystatin     
veri yok

  Mentions Légales