Pēdējā atjaunošana :
18/03/2026
Pretsēnīšu līdzeklis   Nystatin  
Mutes skalojamais līdzeklis
Stabilitāte farmaceitisko preparātu Maisījuma stabilitāte Stabilitāti ietekmējoši faktori Saderība Literatūras saraksts pdf
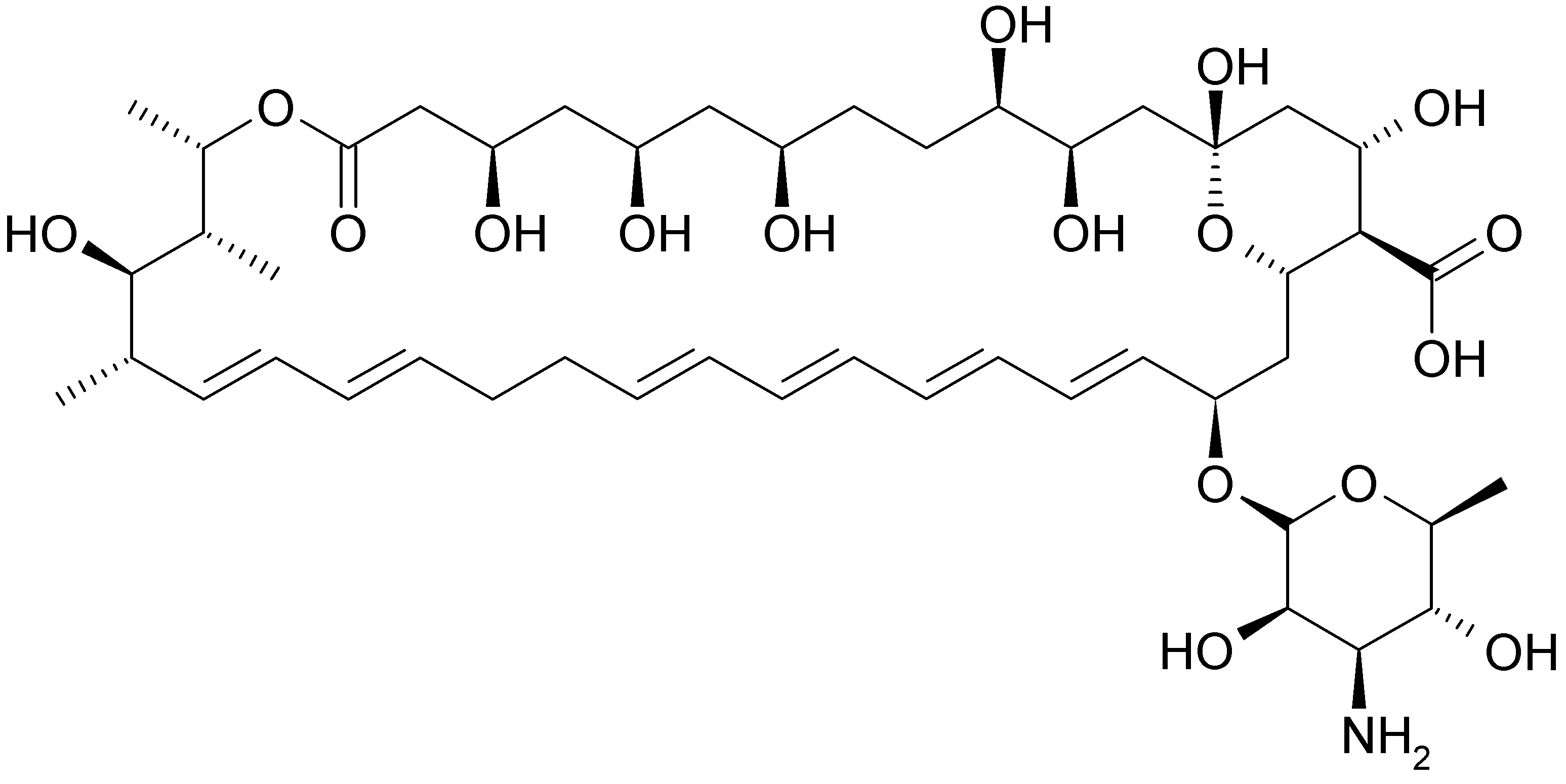
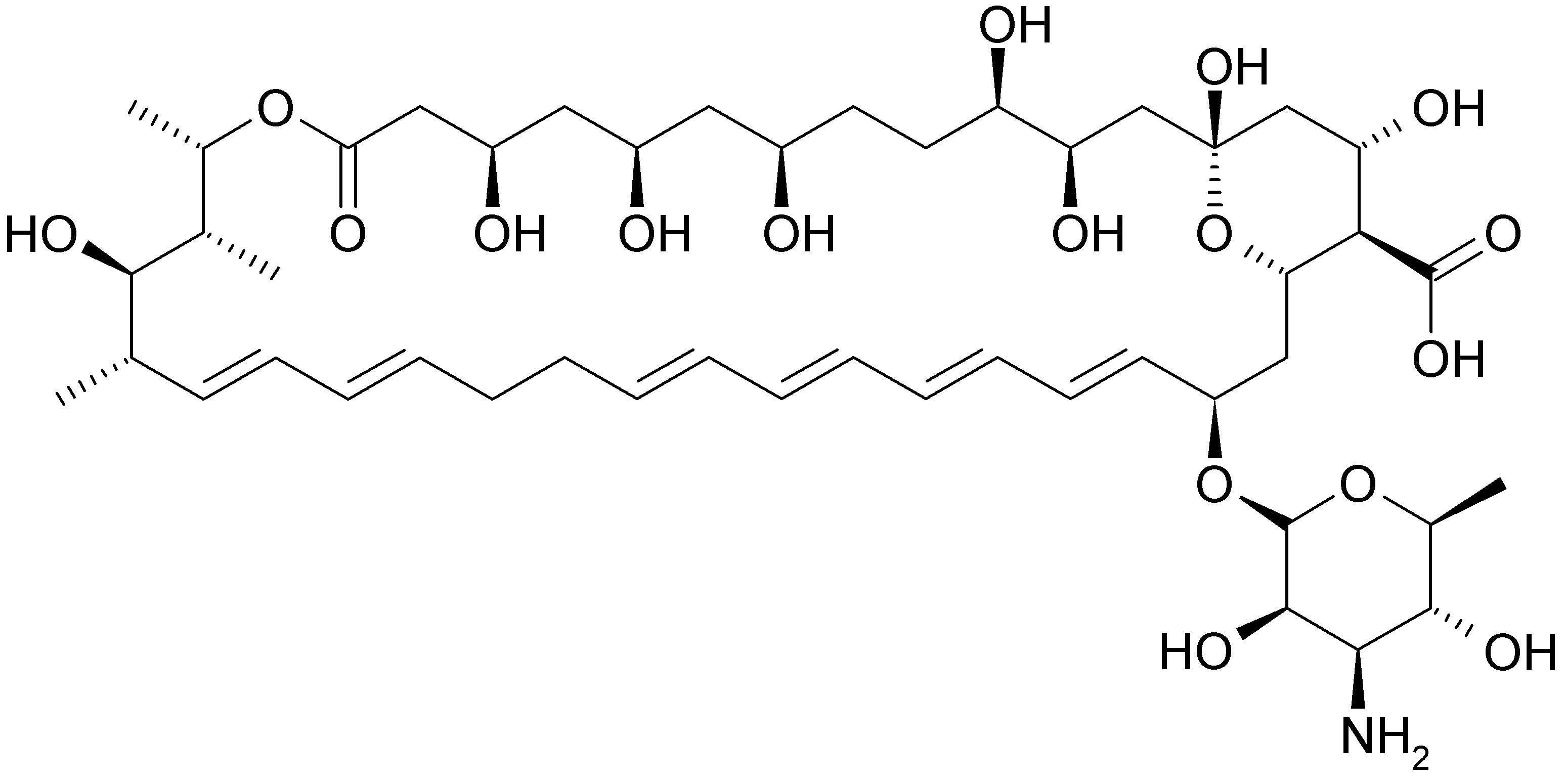
   Ķīmiskā uzbūve   

Mutes skalojamais līdzeklis
Maisījuma stabilitāte   Mutes skalojamais līdzeklis   Maisījuma stabilitāte : Nystatin     
Nav datu

  Mentions Légales