Ultimo aggiornamento :
18/03/2026
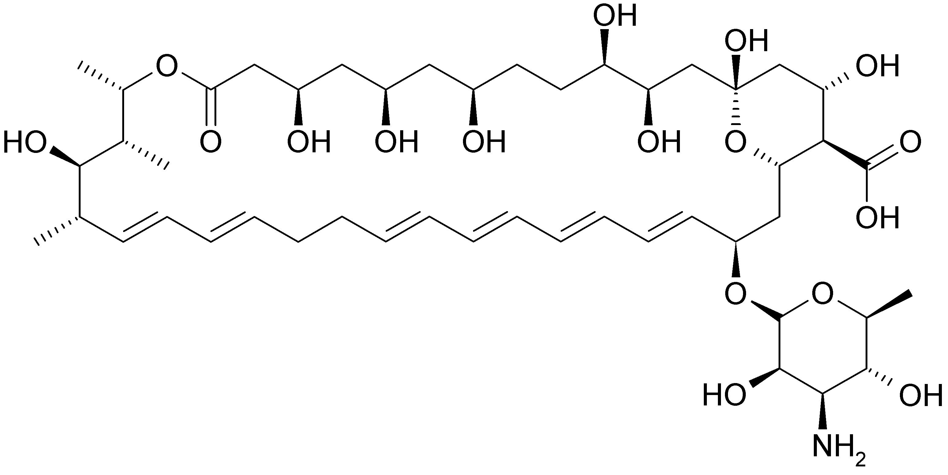
Antimicotico   Nystatin  
Collutorio
Stabilità dei preparati farmaceutici Stabilità in miscela Fattori che influenzano la stabilità Compatibilità Bibliografia pdf
   Struttura chimica  

Collutorio
Stabilità in miscela   Collutorio   Stabilità in miscela : Nystatin     
Assenza di dati

  Mentions Légales