Poslední aktualizace :
18/03/2026
Priešgrybelinis vaistas   Nystatin  
Skystis burnai skalauti
Stabilumas farmacinių preparatų Mišinių stabilumas Stabilumą lemiantys veiksniai Suderinamumas Bibliografija pdf
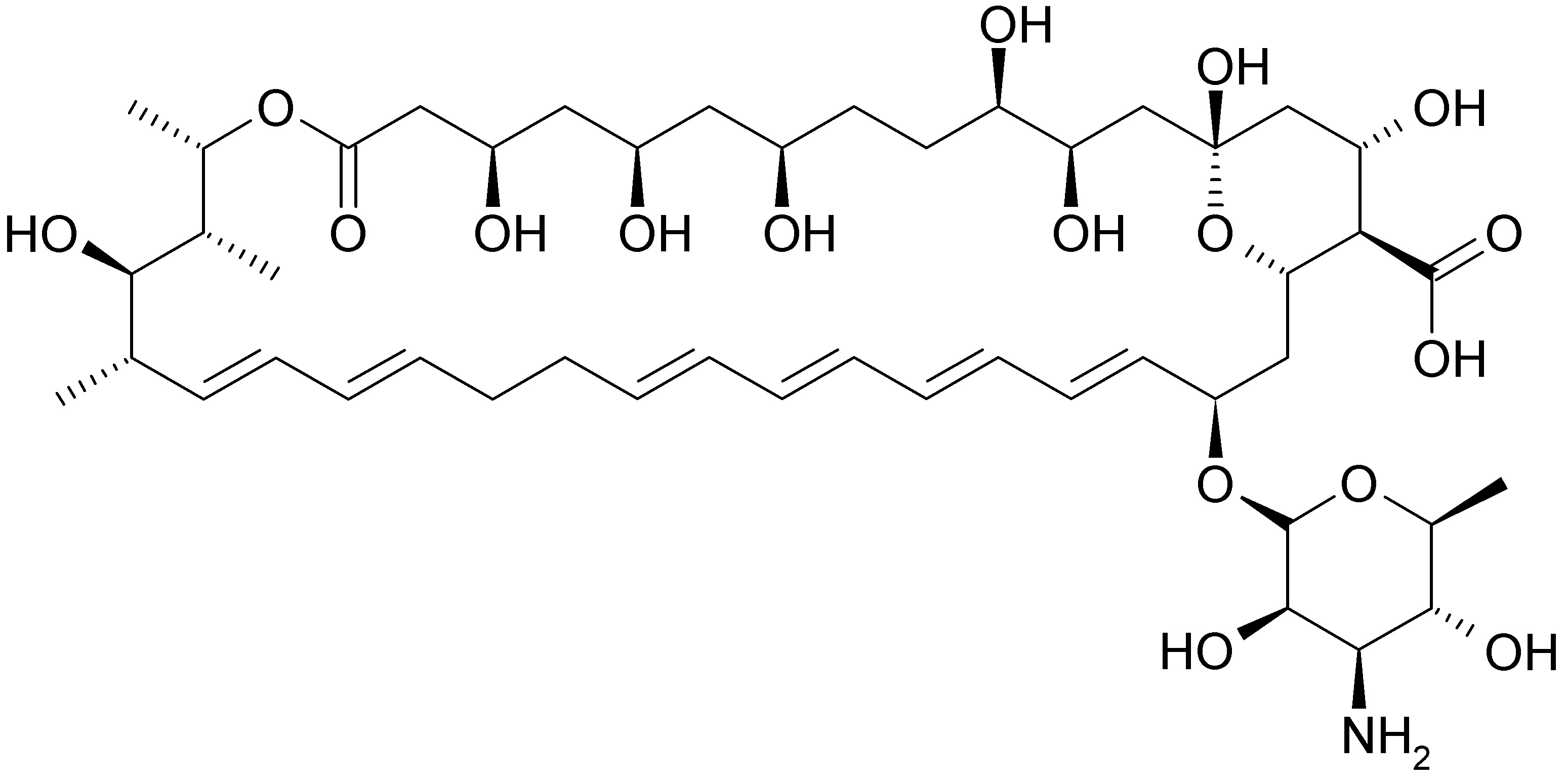
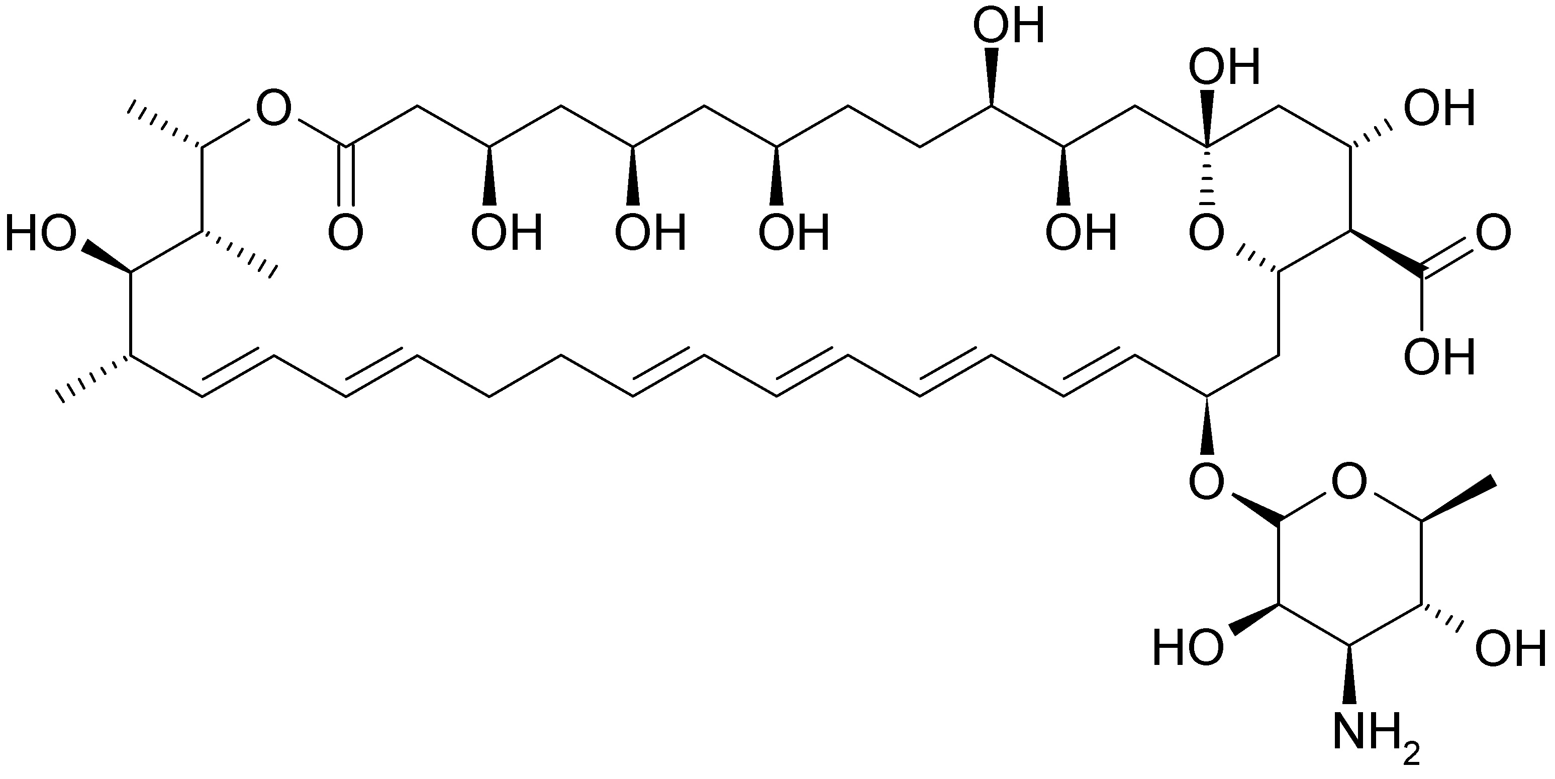
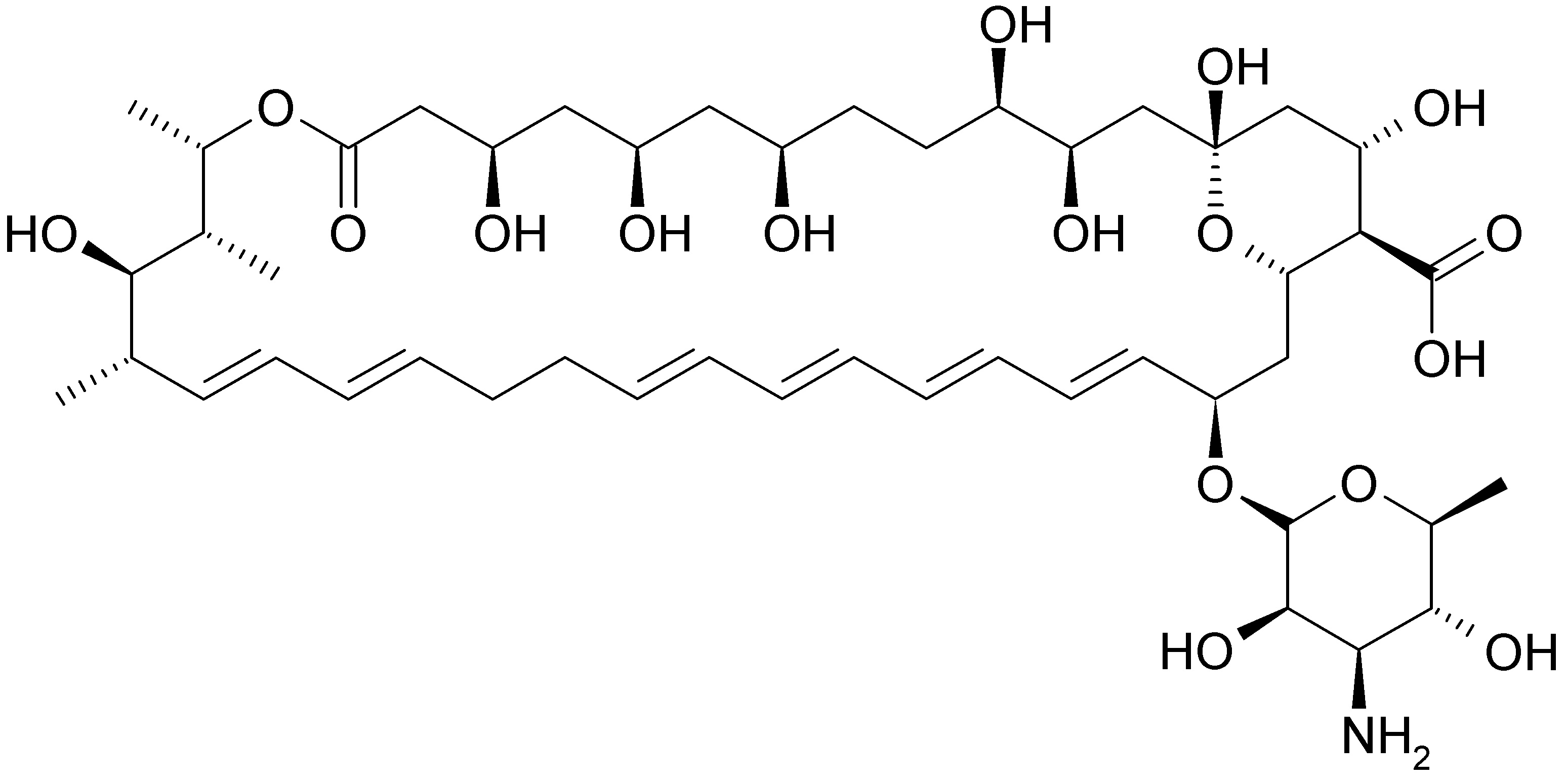
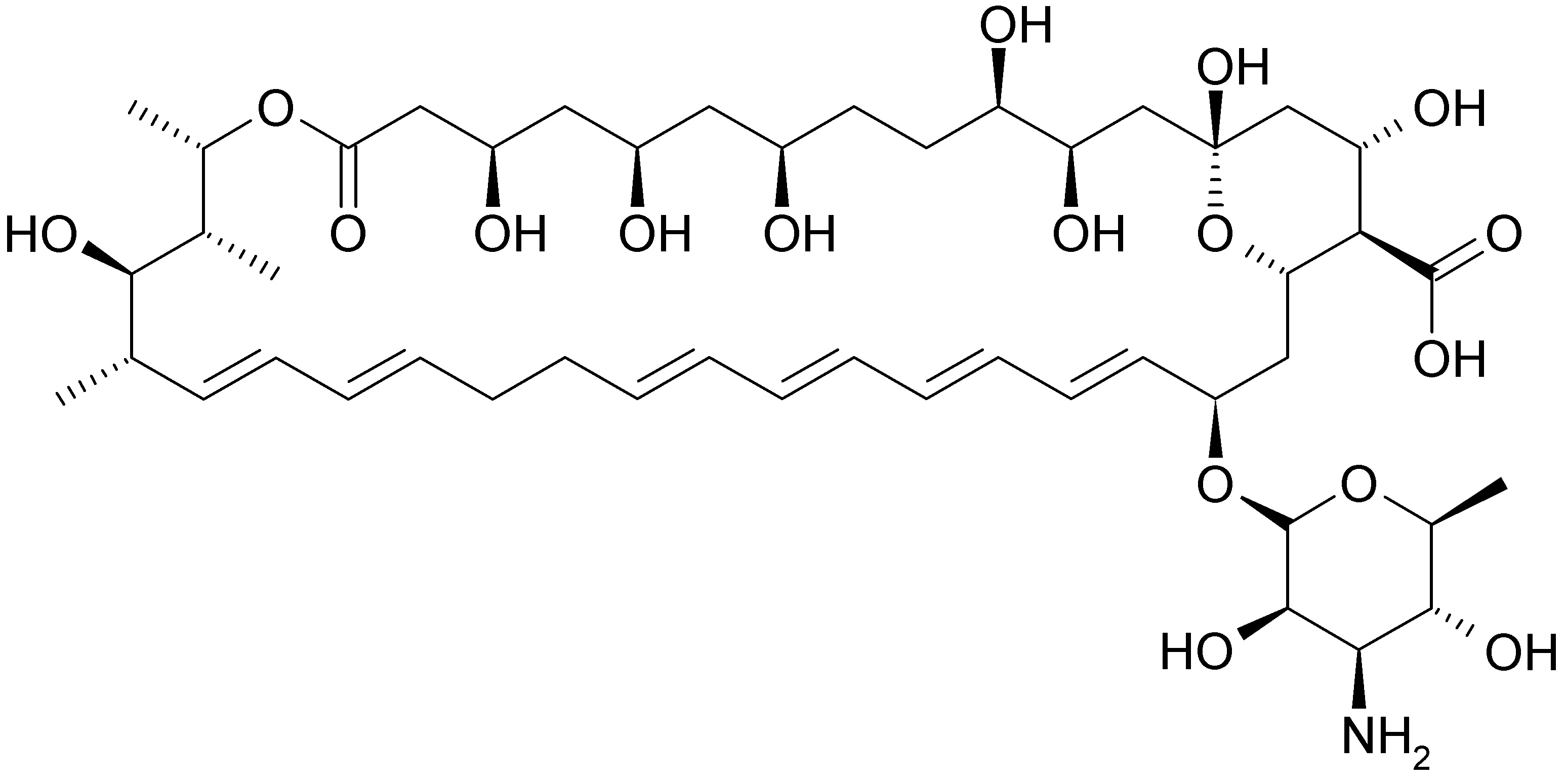
   Cheminė sandara  

Skystis burnai skalauti
Mišinių stabilumas   Skystis burnai skalauti   Mišinių stabilumas : Nystatin     
Nėra duomenų

  Mentions Légales