Siste oppdatering :
18/03/2026
Fungicid   Nystatin  
Munnvann
Stabilitet av farmasøytiske preparater Stabilitet i blandinger Faktorer som påvirker stabiliteten Kompatibilitet Referanser pdf
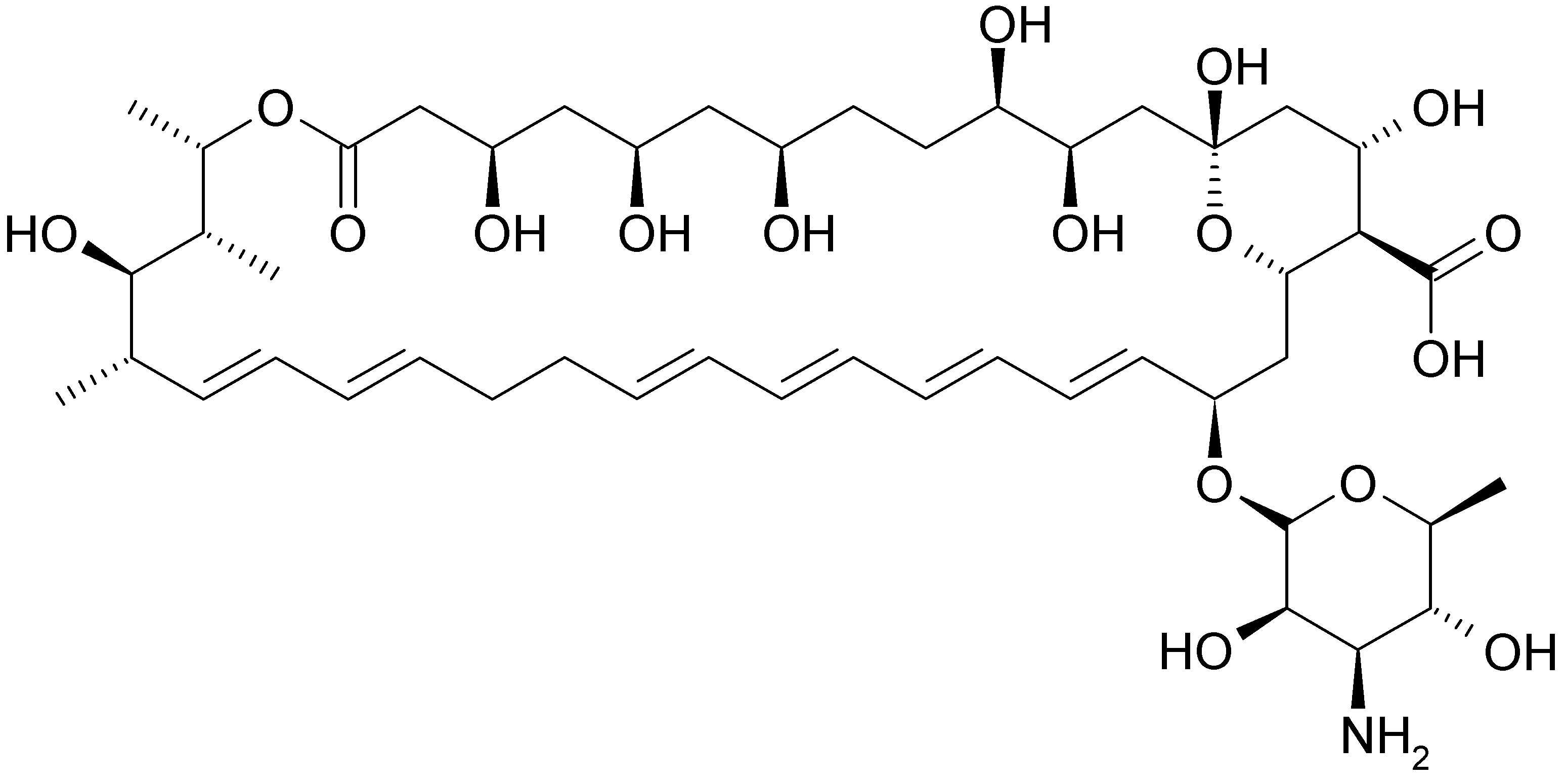
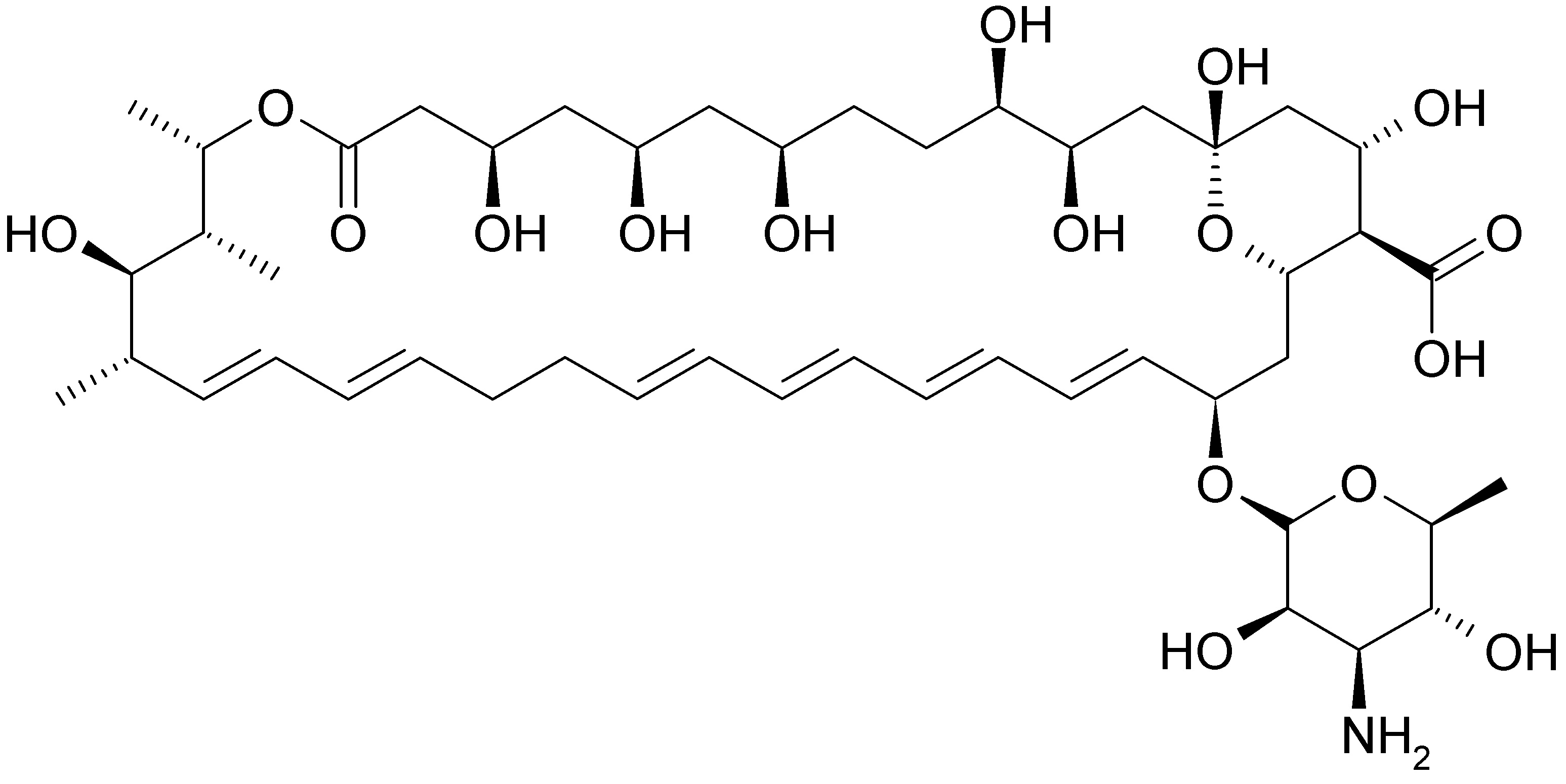
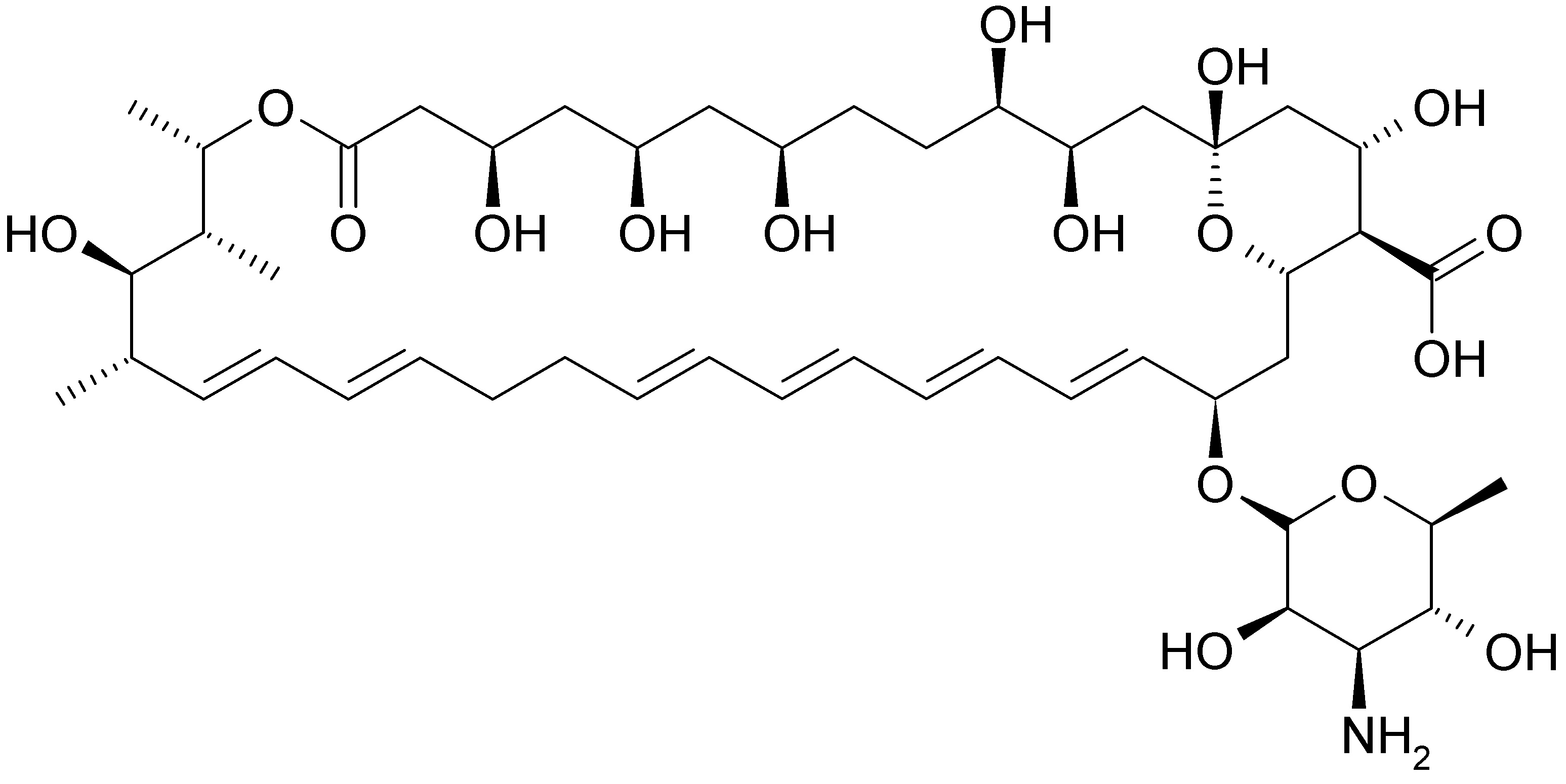
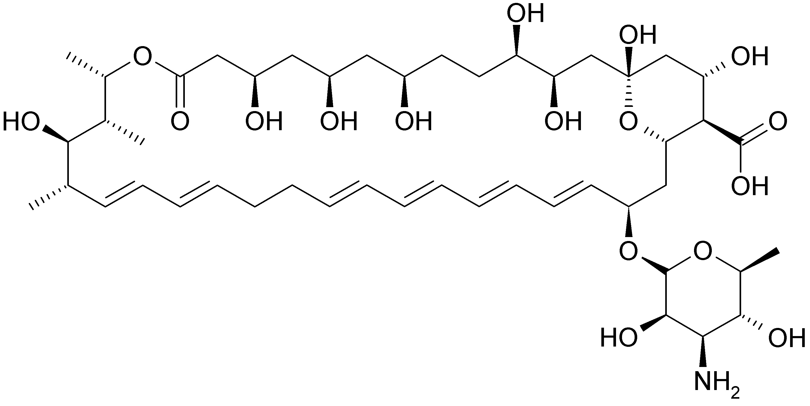
   Kjemisk struktur  

Munnvann
Stabilitet i blandinger   Munnvann   Stabilitet i blandinger : Nystatin     
Ingen opplysninger

  Mentions Légales