آخر تحديث :
18/03/2026
مضاد للفطريات   Nystatin  
غسول الفم
استقرار المستحضرات الصيدلانية استقرار مخاليط العوامل التي تؤثر على الاستقرار التوافق مراجع pdf
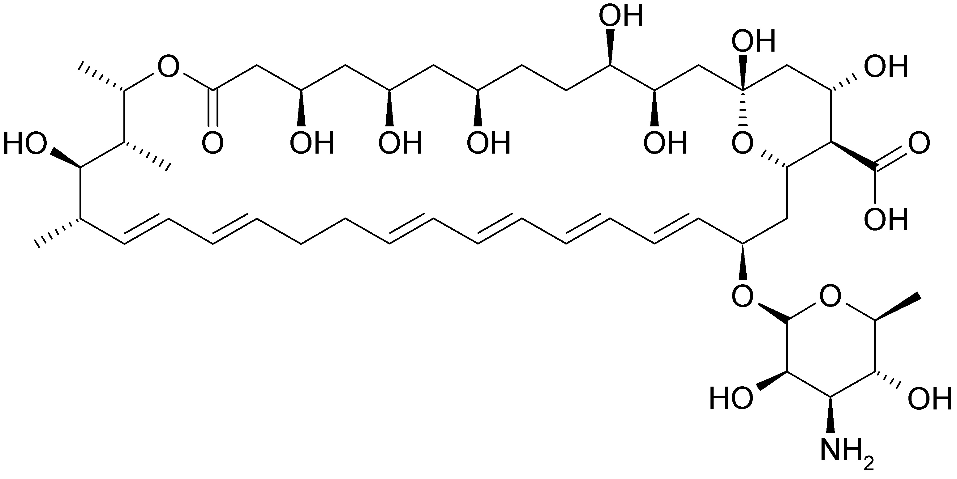
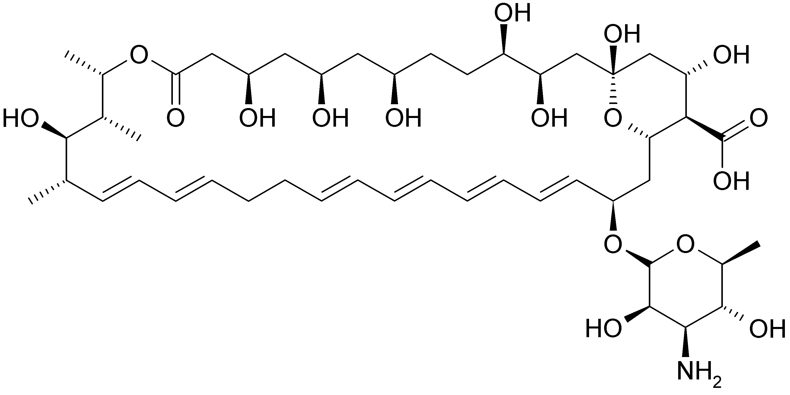
   التركيب الكيميائي  

غسول الفم
استقرار مخاليط   غسول الفم   استقرار مخاليط : Nystatin     
لا توجد بيانات

  Mentions Légales