Laatste update :
18/03/2026
Antimycoticum   Nystatin  
gorgelen
Stabiliteit van farmaceutische preparaten Stabiliteit in mengsels Factoren die de stabiliteit beïnvloeden Verenigbaarheden Literatuur pdf
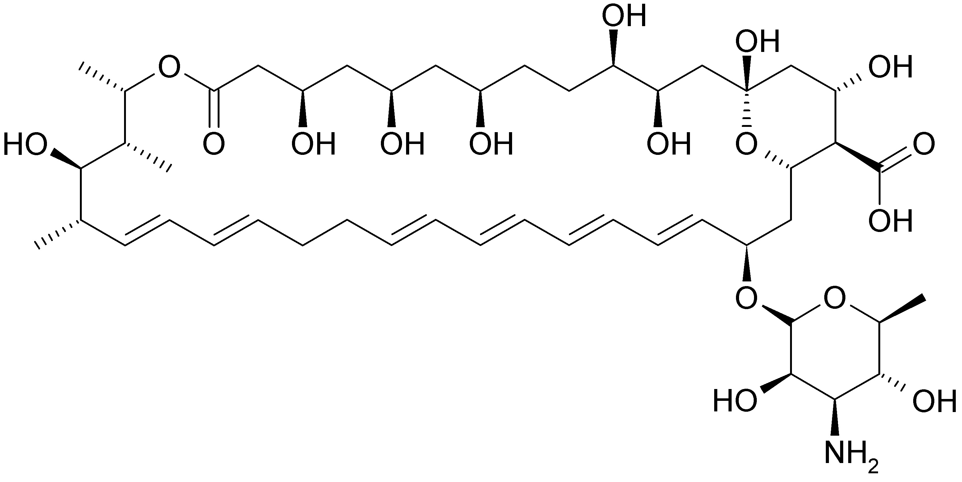
   Molecuulstructuur  

gorgelen
Stabiliteit in mengsels   gorgelen   Stabiliteit in mengsels : Nystatin     
geen gegevens

  Mentions Légales