Ultimele actualizari :
18/03/2026
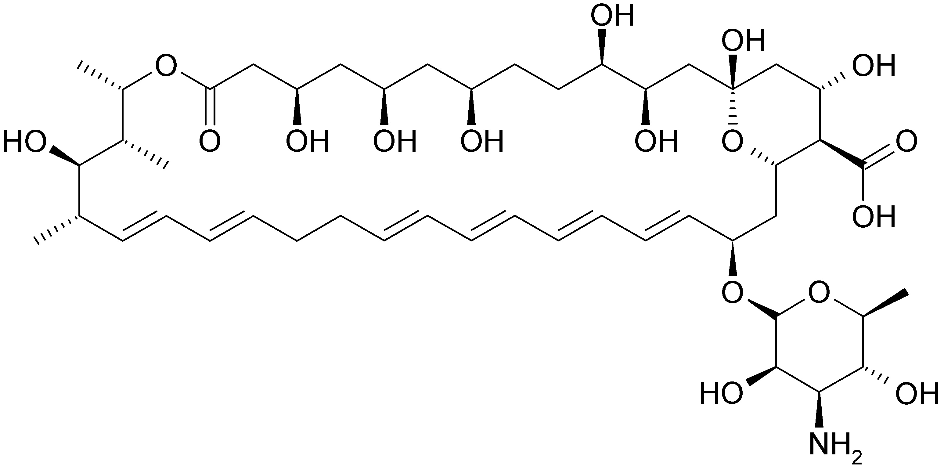
Antifungic   Nystatin  
Gargara
Stabilitatea preparatelor farmaceutice Stabilitatea in amestec Factorii care influenteaza stabilitatea Compatibilitate Bibliografie pdf
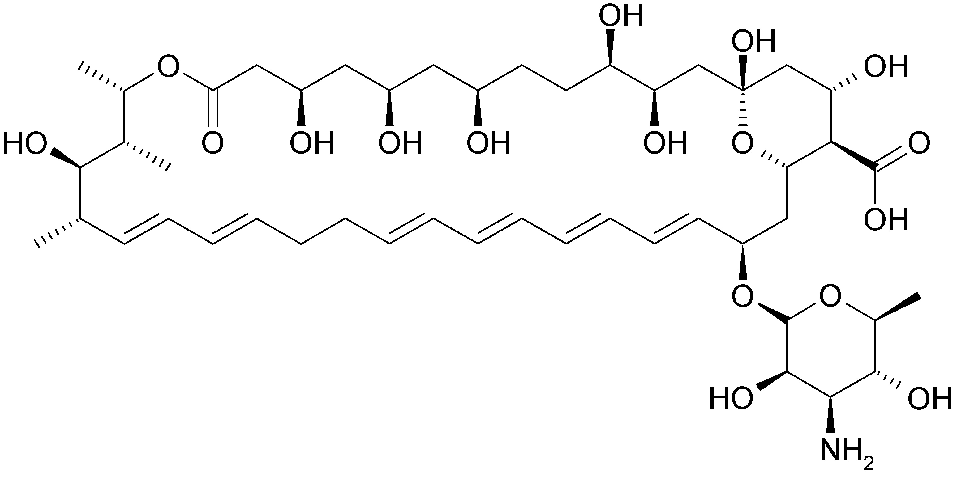
   Formula chimica  

Gargara
Stabilitatea in amestec   Gargara   Stabilitatea in amestec : Nystatin     
Absenta de date

  Mentions Légales