Última actualización :
18/03/2026
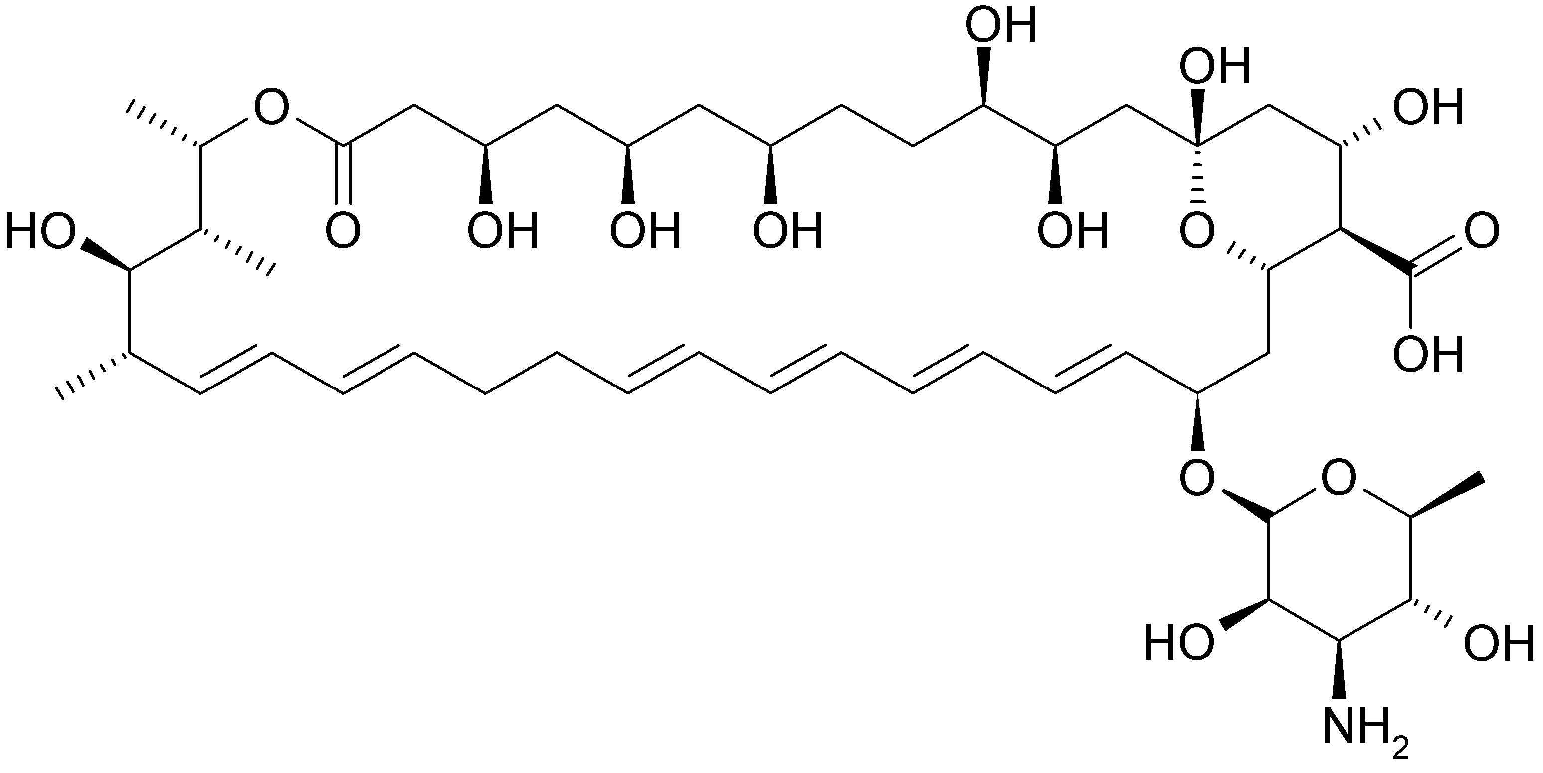
Antifúngico   Nystatin  
Enjuagues bucales
La estabilidad de las preparaciones farmacéuticas Estabilidad en mezcla Factores que influyen sobre la estabilidad Compatibilidades Bibliografía pdf
   Estructura química  

Enjuagues bucales
Estabilidad en mezcla   Enjuagues bucales   Estabilidad en mezcla : Nystatin     
Ausencia de datos

  Mentions Légales