viimane versioon :
18/03/2026
Seenevastane ravim   Nystatin  
Suuloputus lahus
Stabiilsust ravimpreparaadid Stabiilsust mõjutavad tegurid stabiilsust mõjutavad faktorid Sobimatus Viited pdf
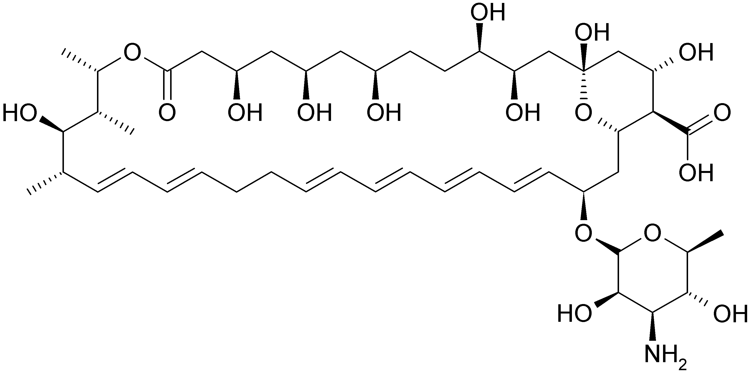
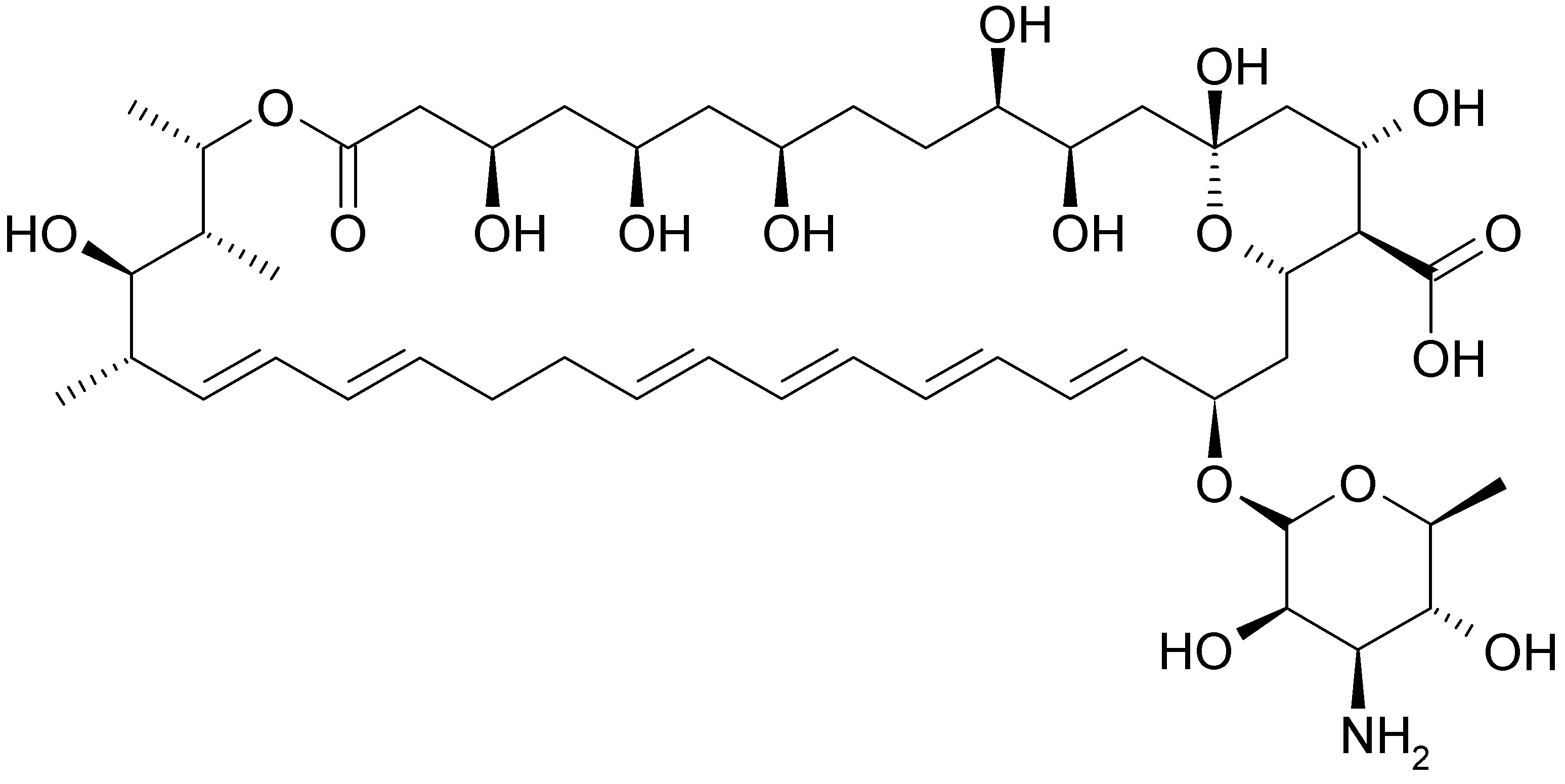
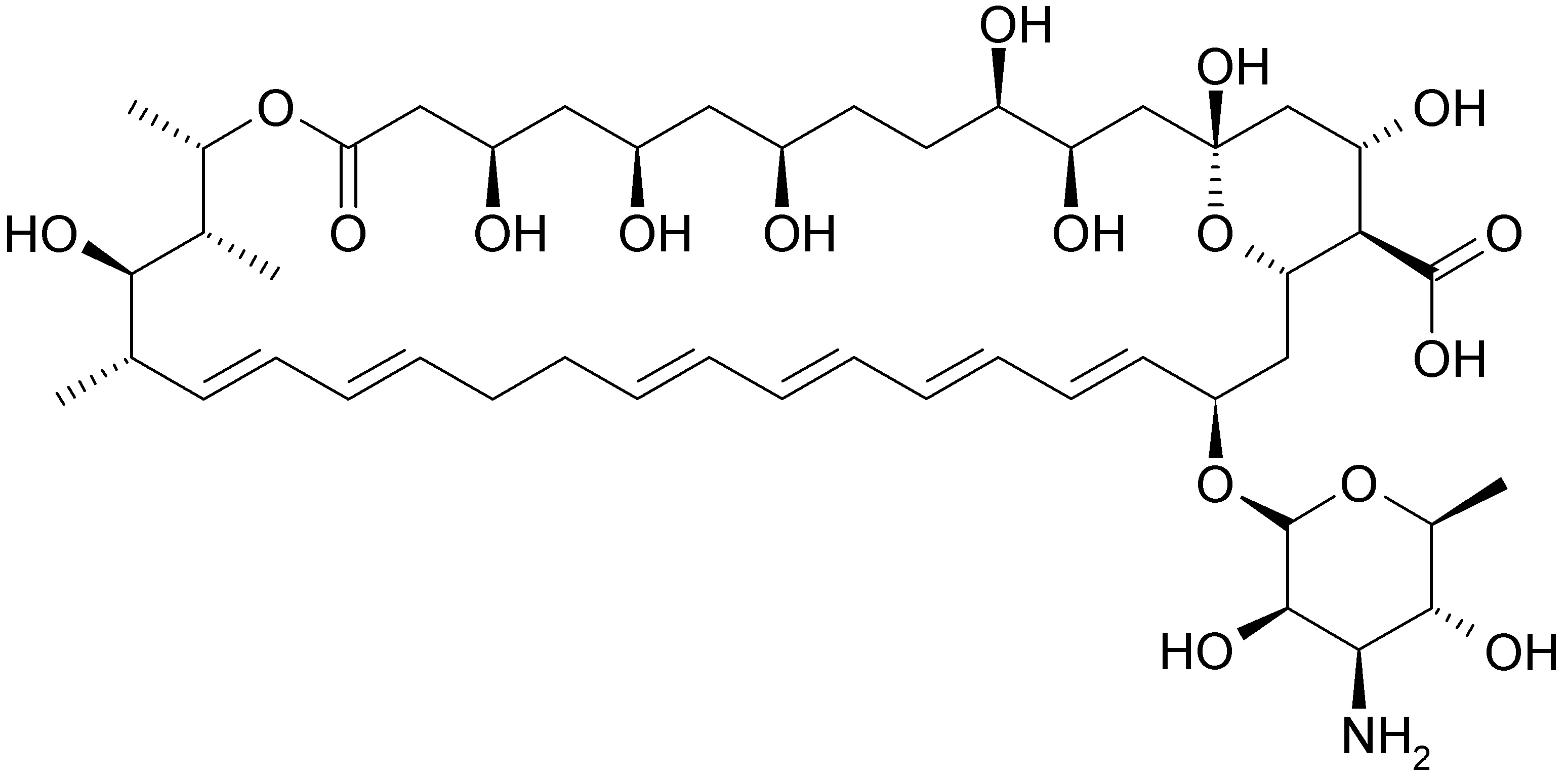
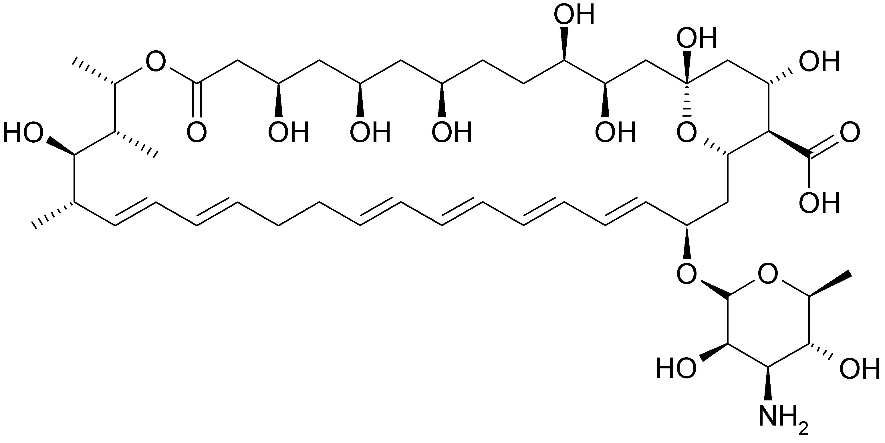
   keemiline struktuur  

Suuloputus lahus
Stabiilsust mõjutavad tegurid   Suuloputus lahus   Stabiilsust mõjutavad tegurid : Nystatin     
andmed puuduvad

  Mentions Légales