Cập nhật lần cuối :
18/03/2026
Thuốc chống nấm   Amphotericin B  
Khí dung
Dạng tiêm Dung dịch uống Thuốc nhỏ mắt Thuốc súc miệng
Tính ổn định của các chế phẩm Độ ổn định khi trộn lẫn Những yếu tố ảnh hưởng đến độ ổn định Khả năng tương thích Tài liệu tham khảo Pdf
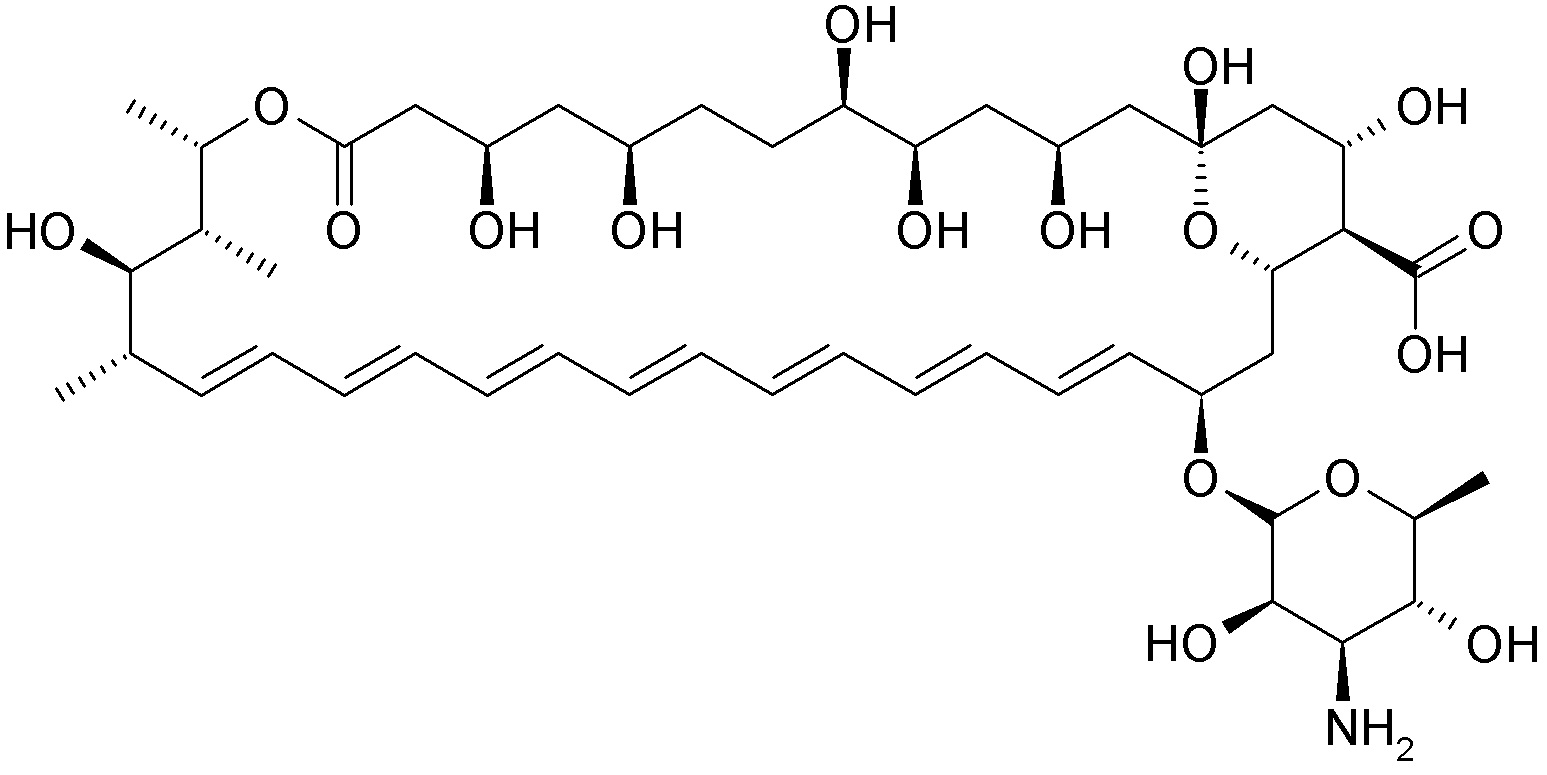
   Cấu trúc hóa học  

Khí dung
Độ ổn định khi trộn lẫn   Khí dung   Độ ổn định khi trộn lẫn : Amphotericin B     
Không có dữ liệu

  Mentions Légales