Последнее обновление :
18/03/2026
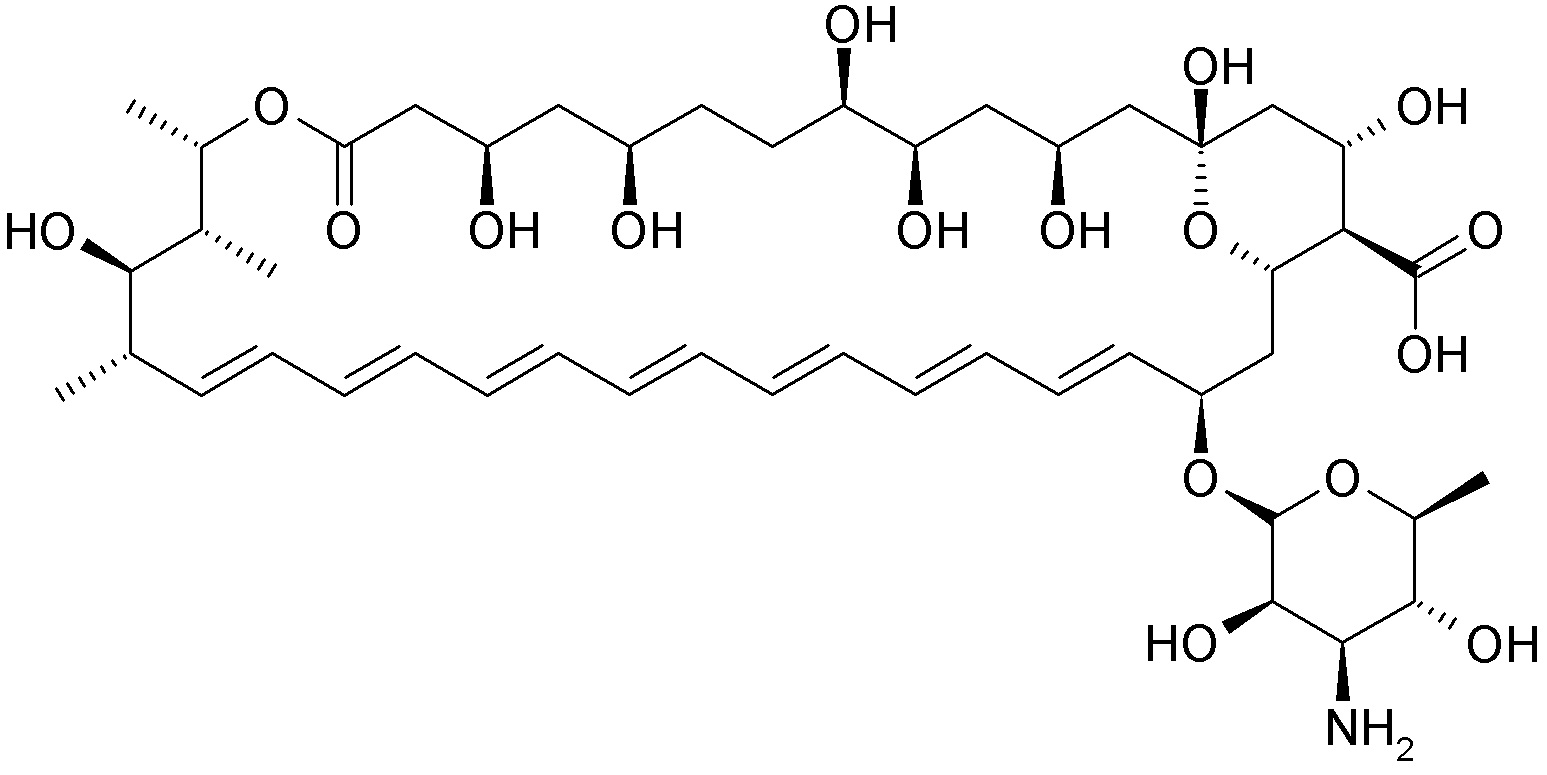
Противогрибковое средство   Amphotericin B  
Аэрозоль
Глазные капли Инъекция Ополаскиватель для полости рта Раствор для перорального приёма
Стабильность фармацевтических препаратов Стабильность смесей Факторы, которые влияют на стабильность Совместимость Библиография pdf
   Химическая структура  

Аэрозоль
Стабильность смесей   Аэрозоль   Стабильность смесей : Amphotericin B     
данных нет

  Mentions Légales